OBJECTIVE—To investigate the effect of acute resistance exercise on adipose tissue triacylglycerol lipase activity (TGLA) in lean and obese men.
RESEARCH DESIGN AND METHODS—Nine lean and eight obese men performed 30 min of circuit resistance exercise. Adipose tissue and blood were sampled during exercise for TGLA, metabolite, and hormone determinations. Respiratory exchange ratio (RER) was measured throughout exercise.
RESULTS—Energy expenditure of exercise relative to body mass was higher in the lean and RER was higher in the obese men, suggesting lower fat oxidation. TGLA increased 18-fold at 5 min of exercise in the lean men and 16-fold at 10 min of exercise in the obese men. The delayed lipolytic activation in the obese men was reflected in serum nonesterified fatty acid and glycerol concentrations. Plasma insulin increased in the obese but did not change in the lean men.
CONCLUSIONS—Resistance exercise upregulated adipose tissue lipolysis and enhanced energy expenditure in lean and obese men, with a delayed lipolytic activation in the obese men.
The American Diabetes Association endorses resistance exercise as a means of improving body composition and metabolic control in diabetes (1). Limited information exists regarding the effect of resistance exercise on adipose tissue lipolysis. We monitored adipose tissue triacylglycerol lipase activity (TGLA), along with metabolic and hormonal responses to resistance exercise, in lean and obese men.
RESEARCH DESIGN AND METHODS—
Participants included nine lean and eight obese healthy untrained men (online appendix, supplemental Table 1 [available at http://dx.doi.org/10.2337/dc08-0072]) with stable weight and no pharmacological or nutritional intervention during the last 6 months. Their fasting plasma glucose levels were <5.55 mmol/l. Written informed consent was obtained, and procedures were performed in accordance with the Declaration of Helsinki and the local institutional review board.
Following anthropometric, ergometric, and dietary assessment (2), participants performed 30 min of circuit resistance exercise in the fasted state (online appendix, supplemental Table 2). Blood and adipose tissue were sampled at 0, 5, 10, 20, and 30 min of exercise. Respiratory exchange ratio (RER) was monitored breath-by-breath via portable gas-exchange analyzer.
Blood lactate, glucose, nonesterified fatty acids (NEFAs), and glycerol were determined spectrophotometrically; catecholamines were determined by high-performance liquid chromatography; and insulin, glucagon, and cortisol were determined by standard immunoassays. Homeostasis model assessment for insulin resistance (HOMA-IR) was calculated (3). Adipose tissue needle biopsies from the buttock were analyzed for TGLA as described (4).
RESULTS—
Both groups had similar HOMA-IR and Vo2max (online appendix, supplemental Table 1). Energy expenditure of resistance exercise was higher in the obese than in the lean men in absolute terms, in the lean men relative to body mass, and in the obese men relative to lean body mass. Relative energy and macronutrient intakes were similar in both groups (online appendix, supplemental Table 3).
Both groups had similar resting Vo2 and RER (online appendix, supplemental Table 4). Both parameters increased with exercise and remained elevated throughout, but RER was higher in the obese men throughout exercise. Blood lactate increased similarly in the lean and obese men, and glucose tended to increase with time (P = 0.053).
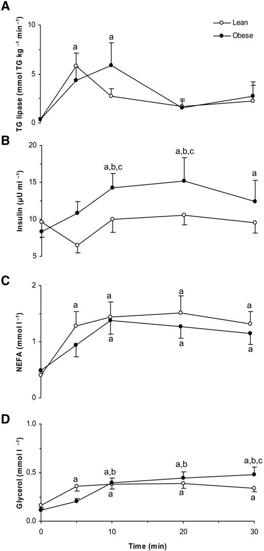
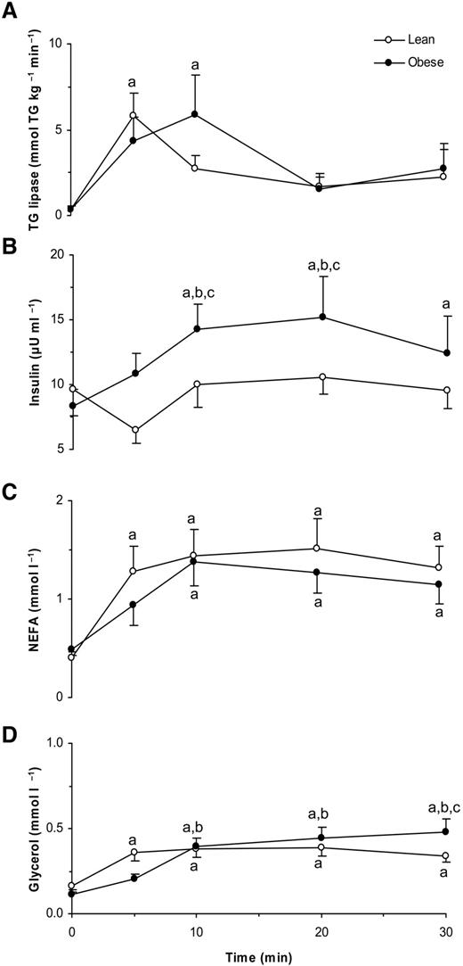
Adipose tissue TGLA (Fig. 1) peaked at 5 min in the lean men (rising from 0.32 ± 0.27 to 5.82 ± 1.32 mmol · kg−1 · min−1) and at 10 min in the obese men (from 0.36 ± 0.23 to 5.88 ± 2.32 mmol · kg−1 · min−1). Thereafter, TGLA declined without reaching baseline. Both groups did not differ in area under the curve (78.1 ± 12.4 vs. 95.3 ± 16.0 mmol/kg, respectively). Plasma insulin did not change in the lean but increased in the obese men following the first exercise cycle and remained elevated thereafter. In the lean men, NEFAs tripled and glycerol doubled at 5 min, maintaining a plateau thereafter, whereas in the obese men NEFAs tripled and glycerol quadrupled at 10 min. Catecholamines (online appendix, supplemental Table 4) increased similarly in both groups. Glucagon increased only in the lean and cortisol increased only in the obese men following the last two cycles.
CONCLUSIONS—
Resistance exercise elevated adipose tissue TGLA 16- to 18-fold within 5–10 min in the lean and obese men and increased energy expenditure in both groups. Although it can be estimated that only a small fraction of the fatty acids released by lipolysis can actually be oxidized, our data suggest that resistance exercise caused fat mobilization and may therefore be considered part of interventions aiming at body weight/fat reduction. Interestingly, the lipolytic response to resistance exercise was similar to the response to aerobic exercise (4). In agreement with our findings, a 78% increase in glycerol concentration of a dialysate collected during resistance exercise from a probe inserted in abdominal adipose tissue was reported (5). However, the fat biopsy technique applied in the present study provides direct evidence on lipolytic rate at the intracellular level and permits a higher time resolution.
Lipolysis was apparently stimulated by the progressive rise in catecholamines during resistance exercise. The increase in TGLA may be due to both activation of hormone-sensitive lipase and its increased attraction to lipid droplets in adipocytes because of perilipin phosphorylation (6). Our assay is sensitive to the latter effect because it uses the natural substrate of triacylglycerol lipase in adipose tissue and mild homogenization to preserve the morphology of lipid droplets, in contrast to other assays that use artificial emulsified triacylglycerols. The attenuation of lipolytic activity following the 5- to 10-min peak, despite the maintenance of the exercise stimulus, may be attributed to β-adrenergic receptor desensitization (7).
Triacylglycerol lipase demonstrated a delay in peak activation in the obese men, although the overall lipolytic response did not differ between the groups. The NEFA and glycerol responses showed a similar delay. Since the two groups had similar HOMA-IR and sympathoadrenergic stimulation, the delay in the resistance exercise–induced lipolytic activation in the obese men may be attributed to the increase in insulin, although additional factors (e.g., growth hormone, cytokines, and β-adrenergic receptors) may have mediated this effect. While circulating insulin declines during endurance exercise, contributing to the stimulation of adipose tissue lipolysis, evidence suggests that insulin is nonresponsive to resistance exercise (8). The insulin surge in the obese men may be due to a reduced responsiveness of their β-cell α2-receptors (9) and may have activated phosphodiesterase (6), which degrades cAMP, thus slowing down the catecholamine-induced cAMP rise that leads to lipolytic stimulation. Nevertheless, the magnitude of the insulin rise (only 6 μU/ml at 10 min compared with baseline) may have been insufficient to blunt the catecholamines' lipolytic effect. On the other hand, the insulin increase in the obese men could have resulted in increased glucose uptake and metabolism, especially in skeletal muscle, leading to higher carbohydrate oxidation, as evidenced by the higher RER.
Effect of resistance exercise on adipose tissue TGLA (A) plasma insulin concentration (B), serum NEFA concentration (C), and serum glycerol concentration (D) in the two groups. Error bars represent SE. aSignificantly different from the respective baseline; bsignificantly different from the respective value at 5 min; csignificantly different from lean (P < 0.05), as detected by the least squares test following two-way (group-by-time) ANOVA with repeated measures on time.
Effect of resistance exercise on adipose tissue TGLA (A) plasma insulin concentration (B), serum NEFA concentration (C), and serum glycerol concentration (D) in the two groups. Error bars represent SE. aSignificantly different from the respective baseline; bsignificantly different from the respective value at 5 min; csignificantly different from lean (P < 0.05), as detected by the least squares test following two-way (group-by-time) ANOVA with repeated measures on time.
Article Information
This work was supported by a donation from the Bodossakis Foundation.
Part of this work was presented at the 11th Annual Congress of the European College of Sport Science and was subsequently published: Chatzinikolaou A, Fatouros I, Petridou A, Papassotiriou I, Mastorakos G, Mitrakou A, Jamourtas A, Lazaropoulou C, Taxildaris K, Mougios V: Adipose tissue triacylglycerol lipase activity in lean and obese men during resistance exercise. ECSS Book of Abstracts 11:192–193, 2006.
We acknowledge the assistance of Dr. M. Manousaki with the hormone measurements.
References
Published ahead of print at http://care.diabetesjournals.org on 28 March 2008.
Readers may use this article as long as the work is properly cited, the use is educational and not for profit, and the work is not altered. See http://creativecommons.org/licenses/by-nc-nd/3.0/ for details.
The costs of publication of this article were defrayed in part by the payment of page charges. This article must therefore be hereby marked “advertisement” in accordance with 18 U.S.C. Section 1734 solely to indicate this fact.
