To investigate how risk of end-stage renal disease (ESRD) among patients with type 1 diabetes has changed over time and further how the risk is affected by age, sex, and time period of diagnosis of diabetes.
A cohort including all patients <30 years old diagnosed with type 1 diabetes in Finland in 1965–2011 was followed until start of renal replacement therapy, death, or end of follow-up at the end of 2013. Altogether, 29,906 patients were included. The main outcome was cumulative risk of ESRD, accounting for death as a competing risk.
The patients were followed up for a median of 20 years. During 616,403 patient-years, 1,543 ESRD cases and 4,185 deaths were recorded. The cumulative risk of ESRD was 2.2% after 20 years and 7.0% after 30 years from the diabetes diagnosis. The relative risk of ESRD was 0.13 (95% CI 0.08–0.22) among patients diagnosed in 1995–2011 compared with those diagnosed in 1965–1979. Patients <5 years old at the time of diagnosis had the lowest risk of ESRD after diagnosis. With the cumulative risk of ESRD estimated from time of birth, the patients aged 5–9 years at diabetes diagnosis were at highest risk.
The cumulative risk of ESRD has decreased markedly during the past five decades. This highlights the importance of modern treatment of diabetes and diabetic nephropathy.
Introduction
It is well known that diabetic nephropathy is associated with increased morbidity and mortality in patients with type 1 diabetes, and end-stage renal disease (ESRD) increases the mortality markedly (1–4). However, the risk of diabetic nephropathy has decreased during the past five decades, probably because of improvements in glucose and blood pressure control (5–7). In 2005, we showed that the risk of ESRD among patients with type 1 diabetes had diminished during the past 4 decades and was only 7.8% at 30 years after the diabetes diagnosis (8). A more recent study on Swedish patients with type 1 diabetes reported an even lower cumulative incidence of ESRD (9).
Many studies have reported better renal prognosis if type 1 diabetes is diagnosed before puberty (8–10), but the results on the effect of sex have been conflicting (8,9,11,12). The incidence of ESRD starts to increase after 15 years and continues to increase up to 30 years from the diabetes diagnosis, and it has been suggested that new treatments have postponed the development of ESRD (8,13). The use of multiple injection insulin therapy, ACE inhibitors, angiotensin 2 receptor blockers, and statins has become increasingly common from the 1990s, and therefore we are only now able to see a possible effect of long-term use of these medications on the risk of ESRD.
It is noteworthy that compared with those of previous reports, our study population is comprehensive with an almost 50-year study period and complete coverage of patients with type 1 diabetes in Finland. The aim of this nationwide population-based study was to investigate how the trends in risk of ESRD have changed in patients with type 1 diabetes during the last five decades.
Research Design and Methods
Study Population
Patients with type 1 diabetes were identified from the Diabetes in Finland (FinDM) II study (14), which has collected information on patients with diabetes in Finland. A primary source of this information is the register of entitlements to special reimbursement for medicines maintained by the Finnish Social Insurance Institution. In Finland, insulin therapy has been fully reimbursed since 1964 for patients diagnosed with type 1 diabetes, and therefore the coverage of patients with type 1 diabetes in the register is complete. We selected all patients with type 1 diabetes who had started insulin therapy before the age of 30 years between 1965 and 2011. For this population, we also obtained data on purchases of other medications from the Finnish Social Insurance Institution prescription database for the period between 1993 and 2011. Thus, patients using metformin (n = 264) or other oral medication (n = 49) used for type 2 diabetes within 1 year from the start of insulin therapy were excluded from the study. In addition, those patients having a diagnosis of secondary diabetes (n = 221) in the Finnish Care Register were excluded. After these exclusions, a total of 29,906 patients with type 1 diabetes were included in the study. ESRD was defined as onset of renal replacement therapy (RRT) based on information from the Finnish Registry for Kidney Diseases, which has almost full coverage (97–99%) of patients starting RRT (dialysis or kidney transplantation) in Finland since 1965 until the end of 2013. Information on deaths from 1965 until the end of 2013 was obtained from the Cause of Death Register maintained by Statistics Finland. Linkage between different registries was possible because of the Finnish system of unique personal identification numbers for all citizens. Notably, all data in this study were obtained from registries fully financed by the Finnish government. The ethics committee of the Finnish National Institute for Health and Welfare has approved the use of patient data for the FinDM II study, and the patients in the Finnish Registry for Kidney Diseases provided written informed consent for use of their data for research purposes; therefore, separate approval by an ethics committee was not needed for this observational study.
Statistical Methods
Patients were followed from the start of insulin therapy marking the onset of diabetes until the start of RRT, death, or end of follow-up on 31 December 2013. Death is a competing risk event for ESRD, as deceased patients are no longer at risk for ESRD. Therefore, the cumulative risk of ESRD was calculated using a method that takes into account the effect of death as a competing risk event. All-cause mortality was assessed using Kaplan-Meier survival probabilities. Cox proportional hazards model was used to assess the relative risks of ESRD and death. Effect of age at diagnosis, time period of diagnosis, sex, and the time-dependent variable of ESRD were estimated using Cox regression model.
The R statistical software 3.2.2 (R Foundation for Statistical Computing, Vienna, Austria [available at http://www.r-project.org]) and SAS statistical software, release 9.3 (SAS Institute, Cary, NC), were used to perform the statistical analyses.
Results
Altogether, 29,906 patients aged <30 years were diagnosed with type 1 diabetes in Finland in 1965–2011, of whom 17,365 were men (58%). Median age at diabetes diagnosis was 12.5 years, and median follow-up time after diagnosis of diabetes was 20.3 years (Table 1). During 616,403 patient-years of follow-up, 1,543 ESRD cases and 4,185 deaths were recorded.
Number of males and females diagnosed as having type 1 diabetes in Finland according to age and time period of diagnosis
| Age-group . | Sex . | 1965–1979 . | 1980–1984 . | 1985–1989 . | 1990–1994 . | 1995–2011 . | Total . |
|---|---|---|---|---|---|---|---|
| 0–4 years | Total | 808 | 328 | 378 | 501 | 2,371 | 4,386 |
| Males | 431 | 184 | 208 | 254 | 1,273 | 2,350 | |
| Females | 377 | 144 | 170 | 247 | 1,098 | 2,036 | |
| 5–9 years | Total | 1,577 | 590 | 638 | 693 | 3,216 | 6,714 |
| Males | 813 | 313 | 354 | 351 | 1,676 | 3,507 | |
| Females | 764 | 277 | 284 | 342 | 1,540 | 3,207 | |
| 10–14 years | Total | 2,147 | 663 | 630 | 684 | 3,059 | 7,183 |
| Males | 1,155 | 375 | 368 | 374 | 1,799 | 4,071 | |
| Females | 992 | 288 | 262 | 310 | 1,260 | 3,112 | |
| 15–19 years | Total | 1,619 | 420 | 374 | 385 | 1,479 | 4,277 |
| Males | 984 | 259 | 232 | 247 | 991 | 2,713 | |
| Females | 635 | 161 | 142 | 138 | 488 | 1,564 | |
| 20–24 years | Total | 1,414 | 388 | 377 | 328 | 1,040 | 3,547 |
| Males | 839 | 228 | 220 | 194 | 692 | 2,173 | |
| Females | 575 | 160 | 157 | 134 | 348 | 1,374 | |
| 25–29 years | Total | 1,466 | 401 | 448 | 380 | 1,104 | 3,799 |
| Males | 960 | 276 | 302 | 245 | 768 | 2,551 | |
| Females | 506 | 125 | 146 | 135 | 336 | 1,248 | |
| 0–29 years | Total | 9,031 | 2,790 | 2,845 | 2,971 | 12,269 | 29,906 |
| Males | 5,182 | 1,635 | 1,684 | 1,665 | 7,199 | 17,365 | |
| Females | 3,849 | 1,155 | 1,161 | 1,306 | 5,070 | 12,541 |
| Age-group . | Sex . | 1965–1979 . | 1980–1984 . | 1985–1989 . | 1990–1994 . | 1995–2011 . | Total . |
|---|---|---|---|---|---|---|---|
| 0–4 years | Total | 808 | 328 | 378 | 501 | 2,371 | 4,386 |
| Males | 431 | 184 | 208 | 254 | 1,273 | 2,350 | |
| Females | 377 | 144 | 170 | 247 | 1,098 | 2,036 | |
| 5–9 years | Total | 1,577 | 590 | 638 | 693 | 3,216 | 6,714 |
| Males | 813 | 313 | 354 | 351 | 1,676 | 3,507 | |
| Females | 764 | 277 | 284 | 342 | 1,540 | 3,207 | |
| 10–14 years | Total | 2,147 | 663 | 630 | 684 | 3,059 | 7,183 |
| Males | 1,155 | 375 | 368 | 374 | 1,799 | 4,071 | |
| Females | 992 | 288 | 262 | 310 | 1,260 | 3,112 | |
| 15–19 years | Total | 1,619 | 420 | 374 | 385 | 1,479 | 4,277 |
| Males | 984 | 259 | 232 | 247 | 991 | 2,713 | |
| Females | 635 | 161 | 142 | 138 | 488 | 1,564 | |
| 20–24 years | Total | 1,414 | 388 | 377 | 328 | 1,040 | 3,547 |
| Males | 839 | 228 | 220 | 194 | 692 | 2,173 | |
| Females | 575 | 160 | 157 | 134 | 348 | 1,374 | |
| 25–29 years | Total | 1,466 | 401 | 448 | 380 | 1,104 | 3,799 |
| Males | 960 | 276 | 302 | 245 | 768 | 2,551 | |
| Females | 506 | 125 | 146 | 135 | 336 | 1,248 | |
| 0–29 years | Total | 9,031 | 2,790 | 2,845 | 2,971 | 12,269 | 29,906 |
| Males | 5,182 | 1,635 | 1,684 | 1,665 | 7,199 | 17,365 | |
| Females | 3,849 | 1,155 | 1,161 | 1,306 | 5,070 | 12,541 |
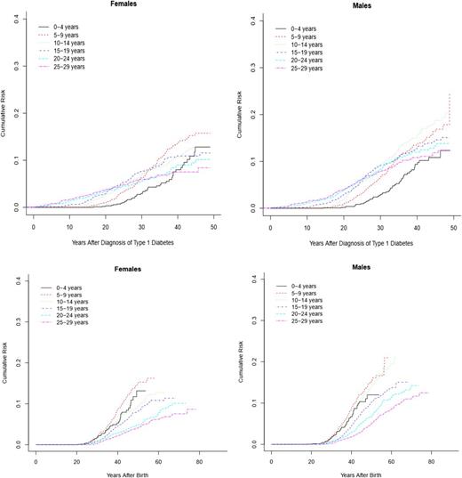
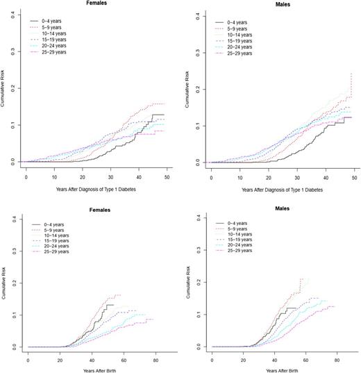
The incidence rate of ESRD started to rise 15 years after the diabetes diagnosis, increased up to 25 years from diagnosis, and thereafter reached a plateau and remained at the same level until the end of the 45-year follow-up in patients diagnosed 1965–1969. However, the incidence rate at 16–20 years from the diabetes diagnosis has become lower over time (Fig. 1). The cumulative incidence of ESRD was 2.2% (95% CI 2.0–2.4) after 20 years and 7.0% (95% CI 6.6–7.4) after 30 years among all patients in the study cohort. However, with inclusion of only those diagnosed with diabetes after 1980, the cumulative incidence was only 1.3% (95% CI 1.1–1.5) and 4.4% (95% CI 3.8–5.0), respectively. Figure 2 shows the cumulative incidence of ESRD according to sex and age at diabetes diagnosis. The cumulative incidence of ESRD after 30 years was higher among men (7.7% [95% CI 7.1–8.3]) than women (6.0% [95% CI 5.4–6.6]). Patients diagnosed with type 1 diabetes before the age of 5 years had the lowest cumulative incidence of ESRD, but otherwise there was no association with age at diagnosis and risk of ESRD. The results were similar with inclusion of only the patients diagnosed with diabetes after 1980. The cumulative incidence was the second lowest in the age-group 5–9 years until ∼25 years of follow-up, after which the incidence started to catch up and even overtake the cumulative incidence in the age-group 10–29 years.
Cumulative incidence of ESRD after type 1 diabetes diagnosis and from birth among males and females according to age at diagnosis of diabetes.
Although the cumulative risk of ESRD, as assessed from time of diagnosis of diabetes, was the lowest among patients diagnosed under the age of 5 years, the cumulative risk of ESRD as assessed from time of birth was 12.1% in men and 13.2% in women at age 50 years compared with 3.5% and 2.1%, respectively, among those diagnosed with diabetes at age 25–29 years (Fig. 2).
In multivariable analysis (Table 2), the patients diagnosed with type 1 diabetes before the age of 5 years had significantly lower risk of ESRD, whereas there was no difference in the risk between the older age-groups. The risk of ESRD was 26% lower among women than men. A diabetes diagnosis in 1965–1979 was associated with the highest risk of ESRD, but the prognosis has improved continuously during later time periods.
Relative risks of ESRD and death associated with sex, age, and time period of diagnosis of type 1 diabetes
| Variable . | ESRD RR . | 95% CI . | P . | Death RR . | 95% CI . | P . |
|---|---|---|---|---|---|---|
| Sex | ||||||
| Male | 1 | 1 | ||||
| Female | 0.74 | 0.67–0.82 | <0.001 | 0.66 | 0.62–0.71 | <0.001 |
| Age (years) | ||||||
| 0–4 | 1 | 1 | ||||
| 5–9 | 1.83 | 1.45–2.31 | <0.001 | 1.58 | 1.32–1.89 | <0.001 |
| 10–14 | 2.00 | 1.60–2.51 | <0.001 | 2.01 | 1.70–2.38 | <0.001 |
| 15–19 | 1.90 | 1.50–2.40 | <0.001 | 2.85 | 2.41–3.38 | <0.001 |
| 20–24 | 2.02 | 1.59–2.58 | <0.001 | 4.57 | 3.87–5.39 | <0.001 |
| 25–29 | 2.16 | 1.69–2.75 | <0.001 | 6.52 | 5.54–7.67 | <0.001 |
| Year of diabetes diagnosis | ||||||
| 1965–1979 | 1 | 1 | ||||
| 1980–1984 | 0.56 | 0.48–0.67 | <0.001 | 0.64 | 0.57–0.71 | <0.001 |
| 1985–1989 | 0.40 | 0.32–0.50 | <0.001 | 0.48 | 0.42–0.55 | <0.001 |
| 1990–1994 | 0.32 | 0.23–0.44 | <0.001 | 0.47 | 0.40–0.55 | <0.001 |
| 1995–2011 | 0.13 | 0.08–0.22 | <0.001 | 0.27 | 0.23–0.32 | <0.001 |
| Variable . | ESRD RR . | 95% CI . | P . | Death RR . | 95% CI . | P . |
|---|---|---|---|---|---|---|
| Sex | ||||||
| Male | 1 | 1 | ||||
| Female | 0.74 | 0.67–0.82 | <0.001 | 0.66 | 0.62–0.71 | <0.001 |
| Age (years) | ||||||
| 0–4 | 1 | 1 | ||||
| 5–9 | 1.83 | 1.45–2.31 | <0.001 | 1.58 | 1.32–1.89 | <0.001 |
| 10–14 | 2.00 | 1.60–2.51 | <0.001 | 2.01 | 1.70–2.38 | <0.001 |
| 15–19 | 1.90 | 1.50–2.40 | <0.001 | 2.85 | 2.41–3.38 | <0.001 |
| 20–24 | 2.02 | 1.59–2.58 | <0.001 | 4.57 | 3.87–5.39 | <0.001 |
| 25–29 | 2.16 | 1.69–2.75 | <0.001 | 6.52 | 5.54–7.67 | <0.001 |
| Year of diabetes diagnosis | ||||||
| 1965–1979 | 1 | 1 | ||||
| 1980–1984 | 0.56 | 0.48–0.67 | <0.001 | 0.64 | 0.57–0.71 | <0.001 |
| 1985–1989 | 0.40 | 0.32–0.50 | <0.001 | 0.48 | 0.42–0.55 | <0.001 |
| 1990–1994 | 0.32 | 0.23–0.44 | <0.001 | 0.47 | 0.40–0.55 | <0.001 |
| 1995–2011 | 0.13 | 0.08–0.22 | <0.001 | 0.27 | 0.23–0.32 | <0.001 |
RR, relative risk.
Only a small portion of the deceased patients had ESRD. The cumulative all-cause-mortality was 7.0% (95% CI 6.7–7.4) at 20 years and 12.5% (95% CI 12.0–13.0) at 30 years after the diabetes diagnosis. Hereby, the cumulative mortality was markedly higher than the cumulative incidence of ESRD. This highlights the importance of death as a competing risk event that reduces the risk of ever developing ESRD. Consequently, the adjusted relative risk of death in patients with type 1 diabetes and ESRD was 10.2 (95% CI 9.4–11.1) compared with other patients with type 1 diabetes, showing the considerable impact of ESRD on mortality in these patients. The relative risk of death was 34% lower in women than men. The risk of death increased with older age at diabetes diagnosis, while a later time period of diagnosis was associated with lower risk of death (Table 2).
Conclusions
We have shown here that the risk of ESRD has decreased continuously over time and that the progression of diabetic nephropathy and renal failure is slower than before among patients with type 1 diabetes. However, type 1 diabetes is still a notable cause of ESRD and those with type 1 diabetes comprised 14% of all patients who entered RRT in Finland in 2011–2015 (15). Within 30 years from the diagnosis of type 1 diabetes, 7.0% of the patients developed ESRD, and the risk of death among these patients was 10 times as high as in other patients with type 1 diabetes. Although ESRD developed more slowly, the lifetime risk of ESRD was the highest if diabetes was diagnosed at a younger age. This nationwide study covering almost 50 years and 29,906 patients is the largest to study the incidence in patients with type 1 diabetes.
We were able to perform this study because of the national registries in Finland, which cover practically all patients with type 1 diabetes, all patients with ESRD, and all deaths during the study period (1965–2013). Unique personal identification numbers for all citizens enabled linkage between these registries. For this reason, we could avoid selection bias and assess how the incidence of ESRD has changed over time. It is of note that the incidence of type 1 diabetes in Finland is the highest in the world (16), and a lot of efforts and resources have consequently been invested in the treatment and study of these patients. It is therefore possible that this could have led to better prognosis of the patients with type 1 diabetes in Finland compared with many other countries (17). In addition, the Finnish population is almost entirely Caucasian and genetically homogenous. For these reasons, our results may not be directly generalizable to other parts of the world. In regression analyses, it has to be taken into account that Kaplan-Meier curves according to age-groups do not fulfill the proportional hazards assumption. Shapes of the curves are different if diabetes is diagnosed before or after 10 years of age, probably because of the influence of puberty.
In 2005, we showed that the cumulative incidence of ESRD in patients with type 1 diabetes was 7.8% after 30 years (8), which was lower than previously reported (18). Later, a large population-based study from Sweden (n = 11,681) reported an even lower cumulative incidence of ESRD: 3.3% after 30 years (9). The patient selection and study design were similar to ours, but the study period started later and hereby the follow-up period was shorter. In contrast, a study from Pittsburgh, Pennsylvania, showed a markedly higher incidence rate of ESRD for patients diagnosed in 1965–1980. The cumulative incidence after 30 years was 13.7% for men and 21.0% for women, but the incidence was even higher if diabetes was diagnosed 1950–1964, namely, 43.4% for men and 24.6% for women (12). At least part of these differences can be explained by an earlier study period and a different patient selection. Another study from the U.S. reported a decline in the cumulative incidence rates of ESRD. If type 1 diabetes was diagnosed between 1975 and 1979, the 20-year cumulative incidence was 3.6% (19). Notably, studies from Europe, Canada, and Australia have also reported declining incidence rates as well as an increase in the age at start of RRT in patients with type 1 diabetes (7,15,20,21), which is in line with our results. However, the incidence of ESRD caused by type 1 diabetes in the U.S. has not decreased but, rather, increased over the past 20 years, although also there it nowadays occurs at slightly older ages (22). Importantly, there was no risk reduction of ESRD despite efficient renoprotective medication (23). Furthermore, it must be kept in mind that the prognosis of patients with type 1 diabetes and diabetic nephropathy is still poor in developing countries (24).
There is strong evidence that better glucose control as well as treatment of hypertension and dyslipidemia decreases the risk of diabetic nephropathy and ESRD in patients with type 1 diabetes (7,25–31). The use of multiple insulin injections became more common in the 1990s and was followed by the development of rapid-acting and long-acting insulin regimens, which enabled patients with type 1 diabetes to maintain a more stable blood glucose control. Also, the use and variety of medication for dyslipidemia and hypertension has increased from the 1990s. For instance, ACE inhibitors and angiotensin receptor blockers have become a mainstay in the treatment of diabetic nephropathy during recent decades. As our study shows, the incidence of ESRD after 30 years has decreased over time. However, because there has been a broad use of these medications for only <20 years, we could expect to see a further decrease in the incidence of ESRD in the future. Although the risk of ESRD cannot be fully eliminated, the development of this devastating complication can probably be moved forward (32). Postponing kidney failure and the start of RRT start will increase quality of life and reduce medical expenses.
Previous reports have showed conflicting results on how sex affects the incidence of ESRD among patients with type 1 diabetes. Many studies have reported that men more frequently develop diabetic nephropathy (2,30,33), but the incidence of ESRD seems more complex. Costacou et al. (12) showed that the incidence of ESRD was higher among men if diabetes was diagnosed in 1950–1964, but if diabetes was diagnosed in 1965–1980, the male excess was eliminated. There is evidence that the risk of ESRD is equal in men and women if diabetes is diagnosed during childhood, but if diabetes develops after puberty, the risk of ESRD is higher among men (9,11). This suggests a role of sex hormones. Supporting this theory, we show in this study that the risk of ESRD is higher among men only if diabetes is diagnosed after puberty.
Diabetic nephropathy, especially when it proceeds to ESRD, is associated with an increased risk of premature death (1,2,33). Patients with type 1 diabetes and ESRD are estimated to have an 18- to 30-fold higher standardized mortality ratio compared with the general population (3,4). Our study also shows a 10-fold risk among patients with type 1 diabetes with ESRD compared with those without ESRD. However, the survival of patients with type 1 diabetes on RRT has improved during recent decades (34).
In conclusion, the risk of ESRD in patients with type 1 diabetes has decreased over time. Females and those diagnosed with type 1 diabetes at a younger age are at lower risk, although the lifetime risk of ESRD is the highest among patients diagnosed with diabetes before the age of 10 years. Because modern treatment of diabetes with multiple insulin injections, renin-angiotensin system inhibitors, and statin therapy has been a mainstay only for <20 years, there is hope that the cumulative incidence of ESRD will continue to decrease in the future.
Article Information
Acknowledgments. The authors acknowledge support from the Board of the Finnish Registry for Kidney Diseases and all the nephrologists and staff in all Finnish central hospitals that have reported to the Finnish Registry for Kidney Diseases: Helsinki University Central Hospital, Turku University Central Hospital, Satakunta Central Hospital, Kanta-Häme Central Hospital, Tampere University Central Hospital, Päijät-Häme Central Hospital, Kymenlaakso Central Hospital, Etelä-Karjala Central Hospital, Mikkeli Central Hospital, Itä-Savo Central Hospital, Pohjois-Karjala Central Hospital, Kuopio University Central Hospital, Keski-Suomi Central Hospital, Etelä Pohjanmaa Central Hospital, Vaasa Central Hospital, Keski-Pohjanmaa Central Hospital, Oulu University Central Hospital, Kainuu Central Hospital, Länsi-Pohja Central Hospital, Lappi Central Hospital, and Åland Central Hospital.
Funding. This study was funded by Suomen Lääketieteen Säätiö (Finnish Medical Society), Munuaissäätiö, and Suomalainen Tiedeakatemia (Finnish Academy).
The sponsors had no role in the design or conduct of the study; collection, management, analysis, or interpretation of the data; or preparation, review, or approval of the manuscript.
Duality of Interest. No potential conflicts of interest relevant to this article were reported.
Authors Contributions. J.H. contributed to the literature search, study design, data collection, data interpretation, and writing. R.S. and M.A. contributed to the study design, data collection, data analysis, data interpretation, figures, and writing. V.H. contributed to the data collection, data interpretation, and writing. P.-H.G. and C.G.-R. contributed to the study design, data collection, data interpretation, and writing. P.F. contributed to the literature search, study design, data collection, data interpretation, and writing. All authors saw and approved the final version of the manuscript. M.A. and R.S. are the guarantors of this work and, as such, had full access to all the data in the study and take responsibility for the integrity of the data and the accuracy of the data analysis.

