Twenty-three nondiabetic volunteers were divided into three groups. In group A (n = 9), the glucose infusion was adjusted to maintain blood glucose at 5 mmol/l (euglycemic clamp). In group B (n = 9), the glucose infusion was adjusted to maintain blood glucose at 10 mmol/l (hyperglycemic clamp) over 2 h. Group C consisted of five volunteers who were studied as the control group. Peripheral blood mononuclear cells (PBMCs) were isolated before and at the end of a 2-h clamp. In group C, PBMCs were isolated before and after 2 h without performing a clamp. The euglycemic clamp as well as “no clamp” had no effects on all parameters studied. In contrast, a significant increase in carboxymethyllysine (CML) content and p21ras and p42/44 mitogen-activated protein kinase (MAPK) phosphorylation was observed at the end of a 2-h hyperglycemic clamp. The nuclear factor (NF)-κB (but not Oct-1) binding activity increased significantly in the hyperglycemic clamp. Western blots confirmed NF-κB-p65-antigen translocation into the nucleus. IκBα did not change significantly in both groups. Hyperglycemia-mediated NF-κB activation and increase of CML content, p21ras, and p42/44 MAPK phosphorylation was also seen in ex vivo–isolated PBMCs stimulated with 5 or 10 mmol/l glucose. Addition of insulin did not influence the results. Inhibition of activation of ras, MAPK, or protein kinase C blocked hyperglycemia-mediated NF-κB activation in ex vivo–isolated PBMCs stimulated with 10 mmol/l glucose. Similar data were obtained using an NF-κB-luciferase reporter plasmid. Therefore, we can conclude that an acute hyperglycemia-mediated mononuclear cell activation is dependent on activation of ras, p42/p44 MAPK phosphorylation, and subsequent NF-κB activation and results in transcriptional activity in PBMCs.
Hyperglycemia is the driving force of late diabetic complications (1). Activation of nuclear factor (NF)-κB in mononuclear cells represents one step in the development of late vascular diabetic complications. The short-lasting postprandial hyperglycemia is associated with changes of vascular function and presumably arteriosclerosis (2–14). Therefore, we studied whether a short-lasting hyperglycemia results in similar changes in mononuclear NF-κB activation, as it has recently been described for chronic hyperglycemia or the in vivo effects of AGEs (15–17). Several pathways activated by hyperglycemia and leading to changes in cellular functions have been described, including formation of AGEs, generation of free radicals, activation of protein kinase C (PKC), a shift in the polyol pathway, and others (18–26). Recently, several studies have shown that an acute increase in blood glucose may, via generation of reactive oxygen species, impair the physiological homeostasis of many systems (2,3). Hyperglycemia alters the balance of generation of free radicals and antioxidants, which explains the increase of endothelial cell adhesion molecules in type 2 diabetic patients (4) (presumably via NF-κB) or the suppression of flow-mediated endothelium-dependent vasodilation (5,6). Several studies in vitro and in vivo support the concept that short-lasting hyperglycemia leads to endothelial cell dysfunction (7–10), activation of NF-κB in vascular smooth muscle cells (10), activation of coagulation (11,12), and increased generation of free radicals (13,14). Most of these studies have looked at the biological effect of postprandial hyperglycemia and its reversal by antioxidants (9). Radicals are known to impair NO in endothelial cells and to mediate activation of coagulation via NF-κB–driven transcription of tissue factor (27,28). The mechanisms through which acute hyperglycemia exerts these effects may be identified in several test systems looking at the production of free radicals by the study of reaction products (2,29,30,31). Furthermore, it has been postulated that hyperinsulinemia generated via hyperglycemia inhibits NF-κB in mononuclear cells (15).
While molecular markers of oxidative stress are indirect, more downstream targets of reactive oxygen species are more easily detected. These include redox-triggered formation of Nε-(carboxymethyl)lysine (CML), which, in addition to binding to its receptor RAGE (receptor for AGE), induces and reflects intracellular generation of radicals, but also activates the ras pathway and induces p42/p44 mitogen-activated protein kinase (MAPK) phosphorylation (32–37). Free radical–triggered signal transduction can, at least in most cell types studied, lead to activation of the redox-sensitive transcription factor NF-κB. The recent development of a tissue culture independent electrophoretic mobility shift assay (EMSA)-based NF-κB-activation detection system allows the detemination of NF-κB activation in ex vivo–isolated circulating blood mononuclear cells (38,39). NF-κB activation has been shown to correlate with HbA1c and albuminuria (39,40), indicating that hyperglycemia induces in vivo signal transduction pathways leading to activation of NF-κB.
However, the biochemical situation in diabetes is rather complex, thus making it difficult to recognize the exact molecular pathways involved in NF-κB activation and to separate the direct effect of hyperglycemia from other metabolic disturbances of diabetes (including treatment). Therefore, we used normo- and hyperglycemic clamp conditions in healthy volunteers in order to evaluate whether acute hyperglycemia induces signal transduction pathways resulting in NF-κB activation. In addition, in vitro studies were performed to elucidate the functional significance of the signal transduction pathways activated by hyperglycemia for activation of NF-κB and subsequent NF-κB–dependent gene activation.
RESEARCH DESIGN AND METHODS
Volunteers, clinical and experimental study.
The study protocol was approved by the ethics committee of the University of Tübingen, Germany. Informed, written consent was obtained from all participants. We studied 23 nondiabetic volunteers. They were divided into three groups: group A (n = 9), group B (n = 9), and group C (n = 5). Volunteers of group A and group B were comparable with respect to fasting blood glucose, normal HbA1c, and BMI (Table 1). Volunteers had been instructed to maintain their usual diet before the study, and they were studied after an overnight fast of 12 h. Between 0800 and 0900 h, a hand vein was cannulated retrogradly and kept in a thermoregulated box at 55°C to obtain arterialized blood samples. At the same time, an antecubital vein was cannulated for infusions of 20% glucose. After baseline samples had been obtained, the euglycemic or hyperglycemic clamp was performed as previously described (41,42). In group A the glucose infusion was adjusted to maintain blood glucose at 5 mmol/l over 2 h. In group B, the glucose infusion was adjusted to maintain blood glucose at 10 mmol/l over 2 h, starting with a body weight–adapted intravenous bolus of 20% glucose over 1 min. Blood glucose was determined bedside with a HemoCue blood glucose photometer (HemoCue AB, Ångelholm, Sweden). Samples for plasma insulin determination (Microparticle Enzyme Immunoassay; Abbott Laboratories, Tokyo, Japan) were at 0 min (baseline) and at 120 min after clamp had been performed. In group C, blood was taken at 0 min (baseline) and at 120 min without doing a clamp.
Reagents.
Dulbecco’s modified Eagles’s medium (DMEM) 1648, HEPES buffer solution, and PBS, pH 7.4, were from Biowhittaker (Walkerville, MD). NF-κB and Oct-1 oligonucleotides were purchased from Promega (Heidelberg, Germany). [α-32P]ATP (3,000 Ci/mmol at 10 Ci/ml), enhanced chemiluminescence (ECL)-Nitrocellulose membranes, ECL detection reagent, and Hyperfilm X-ray films were obtained from Amersham (Braunschweig, Germany). Poly dI/dC was from Pharmacia (Freiburg, Germany). Primary antibodies against NF-κB subunits (p65, p50, p52, cRel, and relB) and IκBα and secondary antibodies were all obtained from Santa Cruz (Heidelberg, Germany). The CML antibody (KHL, key-hole limpet hemocyanin) was prepared as described previously (37). The Use PhosphoPlus p42/44 MAPK (Thr202/Tyr204) Antibody Kit was purchased from New England BioLabs, and the antibody for p21ras was obtained from Transduction Laboratories (Lexington, KY). The inhibitors PD 98059 (2′-amino-3′-methoxyflavone), AFC (7-amino-4[trifluoromethyl]coumarin), GF 109203X, ocadaic acid, aminoguanidin, and FCCP (carbonylcyanidfluoromethoxyphenylhydrazon) were all purchased from Calbiochem (Bad-Soden, Germany). The Effectene transfection reagent was obtained from Qiagen (Hilden, Germany).
Preparation of peripheral blood mononuclear cells.
Peripheral blood mononuclear cells (PBMCs) were separated immediately after venipuncture as previously described in detail (38,39). Whole blood (10 ml), anticoagulated with 3.8% sodium citrate (9:1; vol/vol), was loaded carefully onto Ficoll Paque Plus gradient (Pharmacia, Freiburg, Germany) and centrifuged for 30 min at 500g without brakes at room temperature. The PBMC-containing band was aspirated and the cells were washed three times in PBS, pH 7.4, at 4°C. These prepared PBMCs were immediately quick-frozen at −80°C and stored.
Preparation of nuclear proteins.
Nuclear proteins were prepared as described previously (38–40). To prepare nuclear extracts, 1 × 106 PBMCs were lysed in 200 μl ice-cold buffer A (10 mmol/l HEPES-KOH, pH 7.9, at 4°C, 1.5 mmol/l MgCl2, 10 mmol/l KCl, 0.5 mmol/l diothiothreitol [DTT], and 0.2 mmol/l phenylmethylsulfonyl fluoride [PMSF]), incubated on ice and centrifuged for 30 s at 15,000 rpm in a table centrifuge. The supernatant was discarded and the nuclear pellet was resuspended in 100 μl ice-cold buffer B (20 mmol/l HEPES-KOH, pH 7.9, at 4°C, 25% glycerol, 1.5 mmol/l MgCl2, 420 mmol/l NaCl, 0.2 mmol/l EDTA, 0.5 mmol/l DTT, and 0.2 mmol/l PMSF), incubated on ice for 20 min, and centrifuged for 2 min as above. The supernatant containing nuclear proteins was immediately shock-frozen at −80°C and stored until the next step of the determination of NF-κB was started. The protein concentration in the supernatant was determined according to the Bradford method by using a protein measuring assay (BCA assay) (43).
EMSA.
EMSA was performed essentially as previously described (39,40,44) using 10 μg of nuclear extract. Binding of NF-κB to 1 ng of radiolabelled NF-κB consensus oligonucleotides (5′-AGT TGA GGG GAC TTT CCC AGG C-3′; ∼50,000 cpm [Cerénkov]) and binding of OCT-1 to 1 ng of radiolabelled OCT-1 consensus oligonucleotides (5′-TGT CGA ATG CAA ATC ACT AGA A-3′; ∼50,000 cpm [Cerénkov]) were performed for 20 min at room temperature in 10 mmol/l HEPES, pH 7.5, 0.5 mmol/l EDTA, 100 mmol/l KCl, 2 mmol/l DTT, 2% glycerol, 4% Ficoll, 0.25% NP-40, 1 mg/ml BSA, and 0.1 μg/μl poly dI/dC for NF-κB and for 20 min by room temperature in 10 mmol/l Tris (pH 7.5) buffer with 50 mmol/l NaCl, 1 mmol/l DTT, 1 mmol/l EDTA, 5% glyzerol, and 0.1 μg poly dI/dC for Oct-1. Protein DNA complexes were separated from the unbound DNA probe by electrophoresis through 5% native polyacrylamide gels containing 3.25% glycerol and 0.5 × TBE (Tris-Borate-EDTA). Specifity of binding was ascertained by competition with a 160-fold molar excess of unlabelled NF-κB and Oct-1 consensus oligonucleotides (38,39). Characterization of the NF-κB subunits, contributing to the observed shift, was performed by applying 2.5 μg of anti-p65, anti-p50, anti-p52, anti-cRel, and anti-relB antibodies into the binding reactions with nuclear extracts of isolated mononuclear cells.
Densitometric quantification of NF-κBp65- and Oct-1 binding activity in EMSA.
Gels were dried under vacuum and exposed for 12–96 h to films at −80°C with intensifying screens. The resulting NF-κB and Oct-1 signals were quantitated by densitometry. Determination of the signal area to be measured and the quantitative evaluation were performed twice for two independent experiments. The mean of the two measurements was taken for statistical analysis. First blood sample taken before clamp was determined and defined as baseline (100%).
Western blot analysis of Nε-CML–modified proteins.
The cytoplasmic fraction was prepared as previously described in detail (20,44). Five micrograms of cytoplasmic extracts were separated onto 10% SDS-PAGE followed by electroblotting to ECL-nitrocellulose membranes. Equal loading was confirmed by Ponceau Red staining. Blocking was performed overnight at 4°C in 0.2% casein (I-Block; Tropix, Bedford, MA) and dissolved in Tris-buffered saline (TBS) supplemented with 0.1% Tween (TBST). Membranes were incubated with primary antibodies against CML diluted 1:8,000 in blocking solution for 45 min at room temperature. After washing (2 × 15 min in TBST, 0.05% Tween), the secondary antibody (horseradish peroxidase–coupled rabbit IgG, 1:3,000) was added and incubation was continued for 30 min at room temperature. Membranes were washed 3 × 15 min as above, followed by detection of immunoreactive proteins using the ECL Western blot system (Amersham, Braunschweig, Germany) using exposure times from 10 s to 1 min.
Western blot analysis of p42/44 MAPK (Thr202/Tyr204).
The cytoplasmic fractions were prepared as previously described in detail (20). Ten micrograms of cytoplasmic extracts were separated onto 10% SDS-PAGE, followed by electroblotting to ECL-nitrocellulose membranes. Equal loading was confirmed by Ponceau Red staining. Membranes were incubated with primary antibodies against p42/p44 MAPK (1:1,000) for 180 min at room temperature. After washing (3 × 5 min in TBS, 0.05% Tween), the secondary antibody (horseradish peroxidase–coupled rabbit IgG, 1:2,000) was added, and incubation was continued for 60 min at room temperature. Membranes were washed 3 × 5 min as above, followed by a last 5-min wash in TBS, 0.05% Tween. Immunoreactive proteins were detected with diluted LumiGLO solution and underwent subsequent exposure for 10–30 s.
Western blot analysis of p21ras.
The cytoplasmic fractions were prepared as previously described in detail (20). Ten micrograms of cytoplasmic extracts were separated onto 12% SDS-PAGE, followed by electroblotting to ECL-nitrocellulose membranes. Equal loading was confirmed by Ponceau Red staining. Membranes were incubated with primary antibodies against p21ras (1:3,000) for 60 min at room temperature. After washing (3 × 10 min in TBS, 0.05% Tween), the secondary antibody (horseradish peroxidase–coupled mouse IgG, 1:2,000) was added, and incubation was continued for 60 min at room temperature. Membranes were washed 3 × 10 min as above, followed by detection of immunoreactive proteins using the ECL Western blot system (Amersham) using exposure times from 10 s to 1 min.
Western blot analysis of NF-κBp65 and IκBα.
Cytoplasmic and nuclear fractions were prepared as previously described in detail (20). Twenty micrograms of cytoplasmic extracts or 10 μg of nuclear extracts were separated onto 10–12% SDS-PAGE, followed by electroblotting to ECL-nitrocellulose membranes. Equal loading was confirmed by Ponceau Red staining. Membranes were incubated with primary antibodies against NF-κB-p65 and IκBα for 60 min at room temperature. After washing (2 × 7 min in TBS, 0.05% Tween), the secondary antibody (horseradish peroxidase–coupled rabbit IgG, 1:2,000) was added and incubation was continued for 30 min at room temperature. Membranes were washed 3 × 5 min as above, followed by a last 5-min wash in TBS. Immunoreactive proteins were detected with the ECL-Western blot System, and subsequent exposure was for 2 min (NF-κB-p65) and 4 min (IκBα).
Densitometric quantification of Western blot autoradiograms.
Signals obtained in Western blot analysis were quantified using a GS-700 imaging densitometer (BioRad, Munich, Germany). Determination of the signal area to be measured and the quantitative evaluation were performed twice for two independent experiments. The mean of the two measurements obtained for each patient sample was taken for statistical analysis. The first blood sample taken before clamp was determined and defined as baseline (100%).
PBMC stimulation.
PBMCs from healthy volunteers were separated immediately after venipuncture as described above, stimulated with glucose (5 or 10 mmol/l) in DMEM, and incubated with selective inhibitors of MAPK (PD 98059) (30 μmol/l) and ras (AFC) (50 μmol/l), a phosphatase inhibitor (ocadaic acid) (100 nmol/l), and the solvent DMSO (1:1,000) over 2 h. After 120 min, cells were harvested and nuclear proteins were prepared as described in the preceding sections. Ten micrograms of each nuclear extract were analyzed by EMSA for binding activity of NF-κB to an NF-κB consensus motif.
Transient transfection of bovine endothelial cells.
For transfection, bovine endothelial cells in concentrations of 2 × 105 ml per well were seeded in DMEM supplemented with 10% FCS. One microgram of the appropriate plasmids/well was transfected by the Effectene method. Cells were exposed for 48 h to the precipitate consisting of 100 μl condensation buffer, 3.2 μl enhancer, 10 μl Effectene reagent, and the respective DNA diluted in 2 ml DMEM supplemented with 10% FCS and β-mercaptoethanol. Plasmid DNA used in transfections was isolated by Quiagen midi prep columns. To correct for transfection efficiency, 0.05 μg pSV-β-Gal plasmid/well were included. The β-galactosidase control plasmid “pSV-β-Gal” was obtained from Promega, (Heidelberg, Germany). The plasmid “NF-κB-Luc” was obtained from Clontech (Heidelberg, Germany). For the times indicated in the figure legend, transiently transfected bovine endothelial cells were stimulated with glucose (5 or 10 mmol/l) and incubated with selective inhibitors of signal transduction pathways (see above). After 48 h, cells were harvested in the appropriate buffers. Cell extracts were prepared by lysis in 25 mmol/l Tris phosphate, pH 7.8, 2 mmol/l DTT, 2 mmol/l 1,2-diaminocyclohexane-N,N,N,N′-tetraacetic acid, 10% glycerol, and 1% Triton X-100 and were assayed directly for luciferase activity (20). β-galactosidase activity was determined in the same lysis buffer. Luciferase and β-galactosidase activity were determined for each sample. The ratio of luciferase activity to β-galactosidase activity served to normalize for transfection efficiency (45). Each experiment was performed in triplicate. The data presented are the mean of transfections performed in triplicate (46,47).
Statistical analysis.
Data are given as means ± SD/√n. For densitometric evaluation of EMSA results and Western blot signals, Student’s two-tailed t test was used to determine significance. P ≤ 0.05 was considered to be statistically significant.
RESULTS
Formation of intracellular CML-modified proteins.
Eighteen nondiabetic healthy volunteers were studied. They were divided into two groups of nine volunteers each: group A (euglycemic clamp) and group B (hyperglycemic clamp). Fasting blood glucose, fasting insulin, HbA1c, and BMI did not differ significantly (Table 1). Cytoplasmic fractions of ex vivo–isolated PBMCs were obtained at 0 min before and at 120 min at the end of the euglycemic or hyperglycemic clamp. CML modification of proteins was studied as a marker indicating generation of intracellular oxidative stress. In all PBMCs, we observed a major CML-positive band migrating with the molecular weight of 54 kDa. The first blood sample taken before clamp was used as baseline and defined as 100%. No difference in the CML antigen content was found in ex vivo–isolated PBMCs of group A studied before and after euglycemic clamp (Fig. 1A). When the cytoplasmic extract of PBMCs was studied before and after hyperglycemic clamp (Fig. 1B), a different picture evolved, since a significant increase in CML content was seen (from 100 to 173%; P = 0.03). CML (reflecting generation of intracellular oxidative stress) and reactive oxygen species themselves have both been previously shown to mediate ras activation and p42/44 MAPK phosphorylation (36).
Activation of signal transduction pathways.
We examined p21ras as downstream effector pathway in a euglycemic and hyperglycemic clamp. While the euglycemic clamp had no effect (Fig. 2A top and bottom), the p21ras activity increased significantly in the hyperglycemic clamp from 100 to 139% (P = 0.04) (Fig. 2B). In addition, we studied p42/p44 MAPK phosphorylation in a euglycemic and hyperglycemic clamp. There was no significant change in p42/p44 MAPK phosphorylation during the euglycemic clamp (Fig. 2C), while p42/p44 MAPK phosphorylation increased significantly after hyperglycemic clamp from 100 to 203% (P = 0.02) (Fig. 2D).
Activation of NF-κB.
Reactive oxygen species, activation of ras, and p42/p44 MAPK phosphorylation have previously been shown to result in activation of NF-κB (20,36,47). Therefore, nuclear extracts from PBMCs were prepared and the NF-κB binding activity was measured in group A (euglycemic clamp) (Fig. 3A) or group B (hyperglycemic clamp) (Fig. 3B) using a tissue culture–independent detection system. The resulting NF-κB signals were quantitated by densitometry. At baseline, NF-κB was comparable in both groups (data not shown). No significant change in NF-κB binding activity was observed in PBMCs before and after the euglycemic clamp (Fig. 3A). In the hyperglycemic clamp, the NF-κB binding activity changed significantly (Fig. 3B). The average NF-κB binding activity was 100% at 0 min and increased to 149% after 120 min (P = 0.04) (Fig. 3B, bottom). The transcription factor Oct-1 served as control, and its binding activity remained constant in group A (P = 0.29) (Fig. 3C) and group B (P = 0.85) (Fig. 3D).
In group C, the control group, consisting of five healthy volunteers, there was no significant change in cytoplasmic CML content (Fig. 4A), no significant NF-κB-p65-antigen translocation into the nucleus (Fig. 4B), and no signifcant activation of ras (Fig. 4C) or p42/44 MAPK phosphorylation (Fig. 4D) assayed by Western blot was observed at 0 min and at 120 min without doing a clamp.
To identify the NF-κB-subunits that contribute to the observed shift, anti-p65, anti-p50, anti-p52, anti-cRel, and anti-relB antibodies were added to the binding reaction. As demonstrated in Fig. 5, NF-κB-p50 and NF-κB-p65 bind to the NF-κB consensus motif, whereas p52, cRel, and RelB showed no effect. Furthermore, we observed no change in the relative contribution of p50 and p65 before (Fig. 5A) and after hyperglycemic clamp (Fig. 5B).
To confirm the participation of NF-κB-p65 in the hyperglycemia-induced NF-κB activation, the translocation of NF-κB-p65 into the nucleus was studied. Nuclear and cytoplasmic fractions obtained from group A or B at 0 min before and at 120 min after euglycemic or hyperglycemic clamp were separated by SDS-PAGE and subjected to immunoblotting with an antibody for NF-κB-p65-antigen (Fig. 6). The first blood sample taken before clamp was defined as 100%. While nuclear NF-κB-p65-antigen did not change significantly in euglycemic clamp (Fig. 6A), Western blot analysis confirmed the EMSA results by showing an increase from 100 to 201% in nuclear NF-κB-p65-antigen after hyperglycemic clamp (P = 0.05) (Fig. 6B). Western blot analysis for NF-κB-p65 in cytoplasmic extracts obtained at 120 min in euglycemic clamp did not change significantly (Fig. 6C), while Western blot analysis for NF-κB-p65 from cytoplasmic extracts obtained at 120 min resulted in a significant decrease of NF-κB-p65 from 100 to 86% (P = 0.03) in hyperglycemic clamp (Fig. 6D). These data indicate the translocation of NF-κB-p65 from the cytoplasma to the nucleus during hyperglycemic clamp.
Previous data in patients with newly manifested type 1 diabetes and in vitro data using AGE proteins as inducers of NF-κB activation showed that, in these models, NF-κB activation is not associated with loss of IκBα-antigen (20). There was also no change in cytoplasmic IκBα-antigen before and after a euglycemic (Fig. 7A) (P = 0.42) or hyperglycemic (Fig. 7B) (P = 0.46) clamp in the volunteers studied here. Thus, acute hyperglycemia results in an increase of CML, activation of ras, p42/44 MAPK phosphorylation, and NF-κB binding activity in vivo in PBMCs.
In vitro studies.
To determine the functional consequences of these findings, we used in vitro conditions to elucidate the signal transduction cascade controlling hyperglycemia-mediated mononuclear cell activation. PBMCs isolated from healthy volunteers showed an increased NF-κB binding activity when glucose was raised from 5 to 10 mmol/l with or without insulin over 2 h (corresponding to the conditions used in the clamp studies) (Fig. 8A).
The in vitro studies showed with respect to CML content (Fig. 8B), actvation of ras (Fig. 8C), and p42/p44 MAPK phosphorylation (Fig. 8D) essentially the same results as in the clamps. Furthermore, we did not see an effect of insulin on the hyperglycemia-induced changes, which indicates that the presence of insulin was not responsible for the lack of cell activation in the euglycemic clamp of group B.
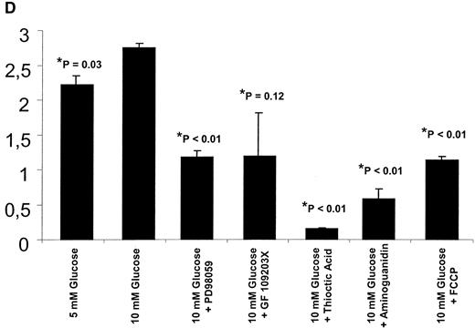
When inhibitors of different signal transduction pathways were added, an inhibition of hyperglycemia-mediated NF-κB activation was seen using the ras inhibitor AFC (50 μmol/l) and the inhibitor of MAPK PD 98059 (30 μmol/l) (Fig. 9A) or using GF 109203X (5 μmol/l), thioctic acid (1 mmol/l), aminoguanidin (10 mmol/l), or FCCP (0.5 μmol/l) (Fig. 9C). No inhibition was seen using ocadaic acid or DMSO as solvent (Fig. 9A).
Bovine endothelial cells (we did not achieve reliable transfection efficiency in ex vivo–isolated PBMCs) were transiently cotransfected with an NF-κB-p65–driven luciferase construct and, in order to control for transfection efficiency, with pSV-β-Gal plasmid to demonstrate functional significance of glucose-dependent NF-κB translocation (Fig. 9B and D). Part of the cells were either left in 5 mmol/l or were stimulated with 10 mmol/l glucose. The latter increased NF-κB transcriptional activity, showing that the increase in NF-κB activation found after 2 h of hyperglycemia results in increased NF-κB–dependent gene transcription and translocation. PD 98059 (30 μmol/l), AFC (50 μmol/l) (Fig. 9B), GF 109203X (5 μmol/l), thioctic acid (1 mmol/l), aminoguanidin (10 mmol/l), and FCCP (0.5 μmol/l) (Fig. 9D), but not ocadaic acid or the solvent DMSO (Fig. 9B), reduced NF-κB transcriptional activity induced by 10 mmol/l glucose, corresponding to the data shown in Fig. 9A or Fig. 9C and the data obtained in volunteers. Thus, hyperglycemia-mediated signaling via ras and MAPK does not only induce NF-κB activation but also transcriptional activity.
DISCUSSION
Hyperglycemia is a driving force of late diabetic complications, making it necessary to understand not only indirect effects of glucose, such as the AGE-mediated cellular effects, but also direct effects of glucose. Several studies have shown that even an acute increase in blood glucose may impair the physiological homeostasis of many systems (2,3), such as the balance of free radicals/anti-oxidants. Furthermore, hyperglycemia increases adhe-sion molecules such as intracellular adhesion molecule (ICAM)-1 in type 2 diabetic patients (4), augments leukocyte-endothelial interaction (48), and suppresses flow-mediated endothelium-dependent vasodilation of brachial artery (6,7). This is explained by an overshoot of superoxide anions resulting in increased nitric oxide degradation. The mechanisms through which acute hyperglycemia exerts these effects may be the production of free radicals. As shown in the present study, the formation of free radicals can be detected on the molecular level by the activation of the redox-sensitive transcription factor NF-κB as an end point of a hyperglycemia-mediated ROS-ras-MAPK signaling pathway.
Thus this study exceeds the data previously presented and published (10,15–17) not only by showing the in vivo relevance, but also by correlating these in vivo data in healthy, nondiabetic subjects during euglycemia and acute (2 h) hyperglycemia resulting from euglycemic and hyperglycemic clamp to in vitro data showing intracellular intracellular formation of AGEs (CML) and activation of ras, p42/44 MAPK, and NF-κB in PBMCs.
In our study the average NF-κB binding activity in hyperglycemic clamp increased in each volunteer significantly, while in the euglycemic clamp the average NF-κB binding activity did not change.
This was not due to the insulin present in the hyperglycemic group, since insulin did not at the dose of 250 μU/ml affect NF-κB activation in vitro and since the 2 h NF-κB activation was similar in the control and euglycemic clamp volunteers. Furthermore hyperglycemia-mediated ROS generation resulted in significantly elevated cytoplasmic CML content, a cytoplasmic marker of oxidative stress (35,37), while euglycemic clamp had no effect. The question whether intracellular CML accumulation is only a marker of redox-dependent protein modification or whether it has in addition direct biological effects such as RAGE-dependent NF-κB activation remains unclear (20,35,46,49,50,51). Intracellular CML-dependent signaling or transport of CML-modified proteins outside the cell and subsequent engagement of RAGE have not been described.
However, the inhibition of NF-κB activation and the inhibition of intracellular AGE formation by aminoguanidin, an inhibitor of electron transport chain complex II, an uncoupler of oxidative phosphorylation, uncoupling protein-1, or manganese superoxide dismutase (35,52,53) allows us to speculate that intracellular CML is directly involved in signaling. This indicates that there may be several other membrane-associated CML binding proteins that are capable of binding intracellular CML and thereby coupling intracellular CML to signal transduction. In support of this hypothesis, we have recently observed that RAGE-blocking antibodies significantly reduce AGE-dependent NF-κB activation in vivo, but they do not block completely (A.B., P.P.N., unpublished observations). Thus, a concept emerges in which the indirect effects of glucose that lead to extracellular AGE-RAGE signaling, combined with the direct intracellular effects of glucose, contribute to late diabetic complications.
Nevertheless, acute hyperglycemia seems to induce the generation of oxidative stress in healthy nondiabetic volunteers, leading to a detectable increased accumulation of CML in the cytoplasm of PBMCs. The in vivo studies show that hyperglycemia rapidly induces intracellular CML. This corresponds well to previous studies that have showed rapid intracellular AGE formation (19,54). Hyperglycemia increases production of reactive oxygen species inside cultured endothelial cells, which can be prevented by an inhibitor of electron transport chain complex II, an uncoupler of oxidative phosphorylation, uncoupling protein-1, or manganese superoxide dismutase (35). Normalizing mitochondrial reactive oxygen species with each of these agents prevents glucose-induced activation of protein kinase C, formation of AGEs, and activation of the transcription factor NF-κB (35).
NF-κB activation caused by chronic hyperglycemia has previously been shown in patients with type 1 diabetes to represent oxidative stress, and it correlates with HbA1c and albuminuria (39,40). Our data extend this concept by showing in vivo that a 2-h hyperglycemia is sufficient for activation of the ras-MAPK-pathway and nuclear translocation of NF-κB-p65. It has previously been reported that MAPK activity is increased upon addition of free radical reporters (36), and activation of a family of Ser/Thr kinases seems to be one of the known critical intermediates in signal transduction by p21ras that occurs typically very early in cellular activation (36). Our observations indicate that this is indeed the case during acute hyperglycemia in PBMCs isolated from healthy volunteers. The in vitro studies presented here add to the in vivo associations, showing that ras activation and p42/p44 MAPK phosphorylation are indeed causative for hyperglycemia-mediated activation and transcriptional activity of NF-κB-p65 not depending on insulin.
Thus, we better understand the role of processes set in motion during acute hyperglycemia, an event that culminates in intracellular CML formation, activation of ras, p42/44 MAPK phosphorylation, and increased NF-κB binding and transcriptional activity in monocytes, three biochemical pathways seemingly involved in the pathogenesis of diabetic complications and supported by studies in which pathway-specific inhibitors prevent various hyperglycemia-induced abnormalities (35).
CML-antigen in PBMCs isolated before and after a euglycemic or hyperglycemic clamp. Cytoplasmic fractions of PBMCs were separated by SDS-PAGE (10% gel) and subjected to immunoblotting with a CML antibody. The Western blot signal of CML antigen obtained before euglycemic (n = 9 volunteers) (A) or hyperglycemic (n = 9 volunteers) (B) clamp was defined as 100% and related to the signal intensity after a euglycemic or hyperglycemic clamp. The Western blot of CML antigen in the cytoplasmic extract of a representative volunteer is shown on top, and the quantification of the CML signals of the whole group (± SD√n) is shown on bottom.
CML-antigen in PBMCs isolated before and after a euglycemic or hyperglycemic clamp. Cytoplasmic fractions of PBMCs were separated by SDS-PAGE (10% gel) and subjected to immunoblotting with a CML antibody. The Western blot signal of CML antigen obtained before euglycemic (n = 9 volunteers) (A) or hyperglycemic (n = 9 volunteers) (B) clamp was defined as 100% and related to the signal intensity after a euglycemic or hyperglycemic clamp. The Western blot of CML antigen in the cytoplasmic extract of a representative volunteer is shown on top, and the quantification of the CML signals of the whole group (± SD√n) is shown on bottom.
p21ras and p42/p44 MAPK antigen in PBMCs isolated before and after a euglycemic or hyperglycemic clamp. Cytoplasmic fractions of PBMCs were separated by SDS-PAGE (12%) and subjected to immunoblotting with an antibody for p21ras (A and B) and p42/p44 MAPK antigen (C and D). The Western blot signal of p21ras (A and B) and p42/p44 MAPK antigen (C and D) obtained before euglycemic (n = 9 volunteers) (A and C) or hyperglycemic (n = 9 volunteers) (B and D) clamp was defined as 100% and related to the signal intensity after a euglycemic or hyperglycemic clamp. A representative volunteer is shown on top, and the result of the whole group (± SD√n) is shown on bottom.
p21ras and p42/p44 MAPK antigen in PBMCs isolated before and after a euglycemic or hyperglycemic clamp. Cytoplasmic fractions of PBMCs were separated by SDS-PAGE (12%) and subjected to immunoblotting with an antibody for p21ras (A and B) and p42/p44 MAPK antigen (C and D). The Western blot signal of p21ras (A and B) and p42/p44 MAPK antigen (C and D) obtained before euglycemic (n = 9 volunteers) (A and C) or hyperglycemic (n = 9 volunteers) (B and D) clamp was defined as 100% and related to the signal intensity after a euglycemic or hyperglycemic clamp. A representative volunteer is shown on top, and the result of the whole group (± SD√n) is shown on bottom.
NF-κB and Oct-1 binding activity in PBMC before and after euglycemic or hyperglycemic clamp. NF-κB binding activity in nuclear extracts of PBMCs before and after a euglycemic (A) or hyperglycemic (B) clamp. A representative patient is shown on top, and the result of the whole group (± SD√n) is shown on bottom. Oct-1 binding activity in the euglycemic clamp (C) and Oct-1 binding activity in the hyperglycemic clamp (D). Each EMSA signal obtained before and after clamp was quantitated by laser densitometry. The first blood sample taken before clamp was determined and defined as baseline (100%). Determination of the signal area to be measured and the quantitative evaluation were performed twice for two independent experiments. The mean of the two measurements was taken for statistical analysis.
NF-κB and Oct-1 binding activity in PBMC before and after euglycemic or hyperglycemic clamp. NF-κB binding activity in nuclear extracts of PBMCs before and after a euglycemic (A) or hyperglycemic (B) clamp. A representative patient is shown on top, and the result of the whole group (± SD√n) is shown on bottom. Oct-1 binding activity in the euglycemic clamp (C) and Oct-1 binding activity in the hyperglycemic clamp (D). Each EMSA signal obtained before and after clamp was quantitated by laser densitometry. The first blood sample taken before clamp was determined and defined as baseline (100%). Determination of the signal area to be measured and the quantitative evaluation were performed twice for two independent experiments. The mean of the two measurements was taken for statistical analysis.
Control group. Nuclear or cytoplasmic fractions of PBMCs of the control group (n = 5) were separated by SDS-PAGE (10% gel) and subjected to immunoblotting using an antibody for CML (A) or for NF-κB-p65 (B) or were separated by SDS-PAGE (12%) and subjected to immunoblotting with an antibody for p21ras (C) and p42/p44 MAPK antigen (D) obtained at 0 min or after 120 min in the control group (n = 5). A representative patient is shown on top, and the result of the whole group (± SD√n) is shown on bottom. The Western blot signal of antigen obtained at 0 min was defined as 100% and related to the signal intensity after 120 min.
Control group. Nuclear or cytoplasmic fractions of PBMCs of the control group (n = 5) were separated by SDS-PAGE (10% gel) and subjected to immunoblotting using an antibody for CML (A) or for NF-κB-p65 (B) or were separated by SDS-PAGE (12%) and subjected to immunoblotting with an antibody for p21ras (C) and p42/p44 MAPK antigen (D) obtained at 0 min or after 120 min in the control group (n = 5). A representative patient is shown on top, and the result of the whole group (± SD√n) is shown on bottom. The Western blot signal of antigen obtained at 0 min was defined as 100% and related to the signal intensity after 120 min.
Relative contribution of the members of the NF-κB family before and after hyperglycemic clamp. Characterization of the NF-κB subunits, contributing to the observed shift, was performed by applying 2.5 μg of anti-p65, anti-p50, anti-p52, anti-cRel, and anti-relB antibodies into the binding reactions using nuclear extract of a representative subject. The complexes were analyzed by EMSA. Panel A shows the relative contribution of the members of the NF-κB family before the hyperglycemic clamp, and panel B shows the contribution after the hyperglycemic clamp. Control = no antibody added.
Relative contribution of the members of the NF-κB family before and after hyperglycemic clamp. Characterization of the NF-κB subunits, contributing to the observed shift, was performed by applying 2.5 μg of anti-p65, anti-p50, anti-p52, anti-cRel, and anti-relB antibodies into the binding reactions using nuclear extract of a representative subject. The complexes were analyzed by EMSA. Panel A shows the relative contribution of the members of the NF-κB family before the hyperglycemic clamp, and panel B shows the contribution after the hyperglycemic clamp. Control = no antibody added.
NF-κB-p65-antigen in PBMCs isolated before and after a euglycemic or hyperglycemic clamp. Nuclear (A and B) and cytoplasmic (C and D) fractions of PBMCs were separated by SDS-PAGE (10% gel) and subjected to immunoblotting using an antibody for NF-κB-p65. The Western blot signal of NF-κB-p65-antigen obtained before euglycemic (n = 9 volunteers) (A and C) or hyperglycemic (n = 9 volunteers) (B and D) clamp was defined as 100% and was put in relation to the signal intensity after a euglycemic or hyperglycemic clamp. NF-κB-p65-antigen of a representative volunteer is shown on top, and the result of the whole group (± SD√n) is shown on bottom.
NF-κB-p65-antigen in PBMCs isolated before and after a euglycemic or hyperglycemic clamp. Nuclear (A and B) and cytoplasmic (C and D) fractions of PBMCs were separated by SDS-PAGE (10% gel) and subjected to immunoblotting using an antibody for NF-κB-p65. The Western blot signal of NF-κB-p65-antigen obtained before euglycemic (n = 9 volunteers) (A and C) or hyperglycemic (n = 9 volunteers) (B and D) clamp was defined as 100% and was put in relation to the signal intensity after a euglycemic or hyperglycemic clamp. NF-κB-p65-antigen of a representative volunteer is shown on top, and the result of the whole group (± SD√n) is shown on bottom.
IκBα-antigen in PBMCs before and after a euglycemic or hyperglycemic clamp. Cytoplasmic fractions were separated by SDS-PAGE (12% gel) and subjected to immunoblotting using an antibody for IκBα. The Western blot signal of IκBα antigen obtained before euglycemic (n = 9 volunteers) (A) or hyperglycemic (n = 9 volunteers) clamp (B) was defined as 100% and was put in relation to the signal intensity after a euglycemic or hyperglycemic clamp. IκBα-antigen in the cytoplasmic extract of a representative volunteer is shown on top, and the result of the whole group (± SD√n) is shown on bottom (n = 9 volunteers).
IκBα-antigen in PBMCs before and after a euglycemic or hyperglycemic clamp. Cytoplasmic fractions were separated by SDS-PAGE (12% gel) and subjected to immunoblotting using an antibody for IκBα. The Western blot signal of IκBα antigen obtained before euglycemic (n = 9 volunteers) (A) or hyperglycemic (n = 9 volunteers) clamp (B) was defined as 100% and was put in relation to the signal intensity after a euglycemic or hyperglycemic clamp. IκBα-antigen in the cytoplasmic extract of a representative volunteer is shown on top, and the result of the whole group (± SD√n) is shown on bottom (n = 9 volunteers).
NF-κB in EMSA and CML, p21ras, and p42/p44 MAPK antigen in Western Blot from PBMCs in 0, 5, or 10 mmol/l glucose with or without insulin. Peripheral blood mononuclear cells (PBMCs) obtained from a healthy volunteer were separated immediately after venipuncture as described in research design and methods. Cells were kept in DMEM in 0 mmol/l glucose, 5 mmol/l glucose without and with insulin (250 μU/ml), or 10 mmol/l glucose without and with insulin (250 μU/ml) for 2 h. After 120 min, cells were harvested and nuclear or cytoplasmic proteins were prepared as described in research design and methods. Ten micrograms of each nuclear extract were analyzed by EMSA for binding activity of NF-κB to a NF-κB consensus motif. The EMSA signal obtained from mononuclear cells kept in 0 mmol/l glucose was defined as 100% and related to the signal intensity obtained from cells kept in 5 or 10 mmol/l glucose (A). Cytoplasmic fractions of PBMCs were separated by SDS-PAGE (10%) and subjected to immunoblotting with an antibody for CML antigen or were separated by SDS-PAGE (12%) and subjected to immunoblotting with an antibody for p21ras and p42/p44 MAPK antigen. The Western blot signal of CML (B), p21ras (C), and p42/p44 MAPK antigen (D) obtained from cytoplasmic fractions of PBMCs kept in 5 mmol/l without insulin were defined as 100% and related to the signal of PBMCs kept in 5 mmol/l with insulin, the signal of PBMCs kept in 10 mmol/l without insulin, and the signal of PBMCs kept in 10 mmol/l with insulin. Results represent the mean of three experiments ± SD√n.
NF-κB in EMSA and CML, p21ras, and p42/p44 MAPK antigen in Western Blot from PBMCs in 0, 5, or 10 mmol/l glucose with or without insulin. Peripheral blood mononuclear cells (PBMCs) obtained from a healthy volunteer were separated immediately after venipuncture as described in research design and methods. Cells were kept in DMEM in 0 mmol/l glucose, 5 mmol/l glucose without and with insulin (250 μU/ml), or 10 mmol/l glucose without and with insulin (250 μU/ml) for 2 h. After 120 min, cells were harvested and nuclear or cytoplasmic proteins were prepared as described in research design and methods. Ten micrograms of each nuclear extract were analyzed by EMSA for binding activity of NF-κB to a NF-κB consensus motif. The EMSA signal obtained from mononuclear cells kept in 0 mmol/l glucose was defined as 100% and related to the signal intensity obtained from cells kept in 5 or 10 mmol/l glucose (A). Cytoplasmic fractions of PBMCs were separated by SDS-PAGE (10%) and subjected to immunoblotting with an antibody for CML antigen or were separated by SDS-PAGE (12%) and subjected to immunoblotting with an antibody for p21ras and p42/p44 MAPK antigen. The Western blot signal of CML (B), p21ras (C), and p42/p44 MAPK antigen (D) obtained from cytoplasmic fractions of PBMCs kept in 5 mmol/l without insulin were defined as 100% and related to the signal of PBMCs kept in 5 mmol/l with insulin, the signal of PBMCs kept in 10 mmol/l without insulin, and the signal of PBMCs kept in 10 mmol/l with insulin. Results represent the mean of three experiments ± SD√n.
In vitro evaluation of the hyperglycemia-induced NF-κB activation. A: Peripheral blood mononuclear cells (PBMCs) obtained from a healthy volunteer were separated immediately after venipuncture as described in research design and methods. Cells were kept in DMEM in either 5 mmol/l glucose (lane 1) or 10 mmol/l glucose (lane 2) for 2 h. PD 98059 (30 μmol/l) (lane 3), AFC (50 μmol/l) (lane 4), ocadaic acid (100 nmol/l) (lane 5), and the solvent DMSO (1:1,000) (lane 6) were simultaneously added to media containing 10 mmol/l glucose. After 120 min, cells were harvested and nuclear proteins were prepared as described in research design and methods. Ten micrograms of each nuclear extract were analyzed by EMSA for binding activity of NF-κB to a NF-κB consensus motif. B: Bovine endothelial cells were transiently cotransfected with an NF-κB-p65 luciferase promotor construct and a pSV-β-Gal plasmid. Cells were either maintained in 5 or 10 mmol/l glucose in the presence or absence of PD 98059 (30 μmol/l), AFC (50 μmol/l), ocadaic acid (100 nmol/l), and the solvent DMSO (1:1,000) for 2 h until cells were harvested 48 h after transfection. Luciferase activity was determined in cell lysates and normalized for transfection efficiency. Results represent the mean of three experiments ±SD√n that are given as ratio of luciferase activity to β-galactosidase activity performed in triplicate. *Significance was determined in relation to 10 mmol/l glucose. C: PBMCs obtained from a healthy volunteer were separated immediately after venipuncture as described in research design and methods. Cells were kept in DMEM in 10 mmol/l glucose for 2 h. Thioctic acid (1 mmol/l), aminoguanidin (10 mmol/l), and FCCP (0.5 μmol/l) were simultaneously added to media containing 10 mmol/l glucose. After 120 min cells were harvested and nuclear proteins were prepared as described in research design and methods. Ten micrograms of each nuclear extract were analyzed by EMSA for binding activity of NF-κB to a NF-κB consensus motif. The EMSA signal obtained from mononuclear cells kept in 10 mmol/l glucose was defined as 100% and related to the signal intensity obtained from cells kept in 10 mmol/l glucose and added with thioctic acid (1 mmol/l), aminoguanidin (10 mmol/l), and FCCP (0.5 μmol/l). Results represent the mean of three experiments ±SD√n. *Significance was determined in relation to 10 mmol/l glucose. D: Bovine endothelial cells were transiently cotransfected with an NF-κB-p65-luciferase promotor construct and a pSV-β-Gal plasmid. Cells were maintained in either 5 or 10 mmol/l glucose in the presence or absence of PD 98059 (30 μmol/l), GF 109203X (5 μmol/l), thioctic acid (1 mmol/l), aminoguanidin (10 mmol/l,) and FCCP (0.5 μmol/l) for 2 h until cells were harvested 48 h after transfection. Luciferase activity was determined in cell lysates and normalized for transfection efficiency. Results represent the mean of three experiments ±SD√n that are given as ratio of luciferase activity to β-galactosidase activity performed in triplicate. *Significance was determined in relation to 10 mmol/l glucose.
In vitro evaluation of the hyperglycemia-induced NF-κB activation. A: Peripheral blood mononuclear cells (PBMCs) obtained from a healthy volunteer were separated immediately after venipuncture as described in research design and methods. Cells were kept in DMEM in either 5 mmol/l glucose (lane 1) or 10 mmol/l glucose (lane 2) for 2 h. PD 98059 (30 μmol/l) (lane 3), AFC (50 μmol/l) (lane 4), ocadaic acid (100 nmol/l) (lane 5), and the solvent DMSO (1:1,000) (lane 6) were simultaneously added to media containing 10 mmol/l glucose. After 120 min, cells were harvested and nuclear proteins were prepared as described in research design and methods. Ten micrograms of each nuclear extract were analyzed by EMSA for binding activity of NF-κB to a NF-κB consensus motif. B: Bovine endothelial cells were transiently cotransfected with an NF-κB-p65 luciferase promotor construct and a pSV-β-Gal plasmid. Cells were either maintained in 5 or 10 mmol/l glucose in the presence or absence of PD 98059 (30 μmol/l), AFC (50 μmol/l), ocadaic acid (100 nmol/l), and the solvent DMSO (1:1,000) for 2 h until cells were harvested 48 h after transfection. Luciferase activity was determined in cell lysates and normalized for transfection efficiency. Results represent the mean of three experiments ±SD√n that are given as ratio of luciferase activity to β-galactosidase activity performed in triplicate. *Significance was determined in relation to 10 mmol/l glucose. C: PBMCs obtained from a healthy volunteer were separated immediately after venipuncture as described in research design and methods. Cells were kept in DMEM in 10 mmol/l glucose for 2 h. Thioctic acid (1 mmol/l), aminoguanidin (10 mmol/l), and FCCP (0.5 μmol/l) were simultaneously added to media containing 10 mmol/l glucose. After 120 min cells were harvested and nuclear proteins were prepared as described in research design and methods. Ten micrograms of each nuclear extract were analyzed by EMSA for binding activity of NF-κB to a NF-κB consensus motif. The EMSA signal obtained from mononuclear cells kept in 10 mmol/l glucose was defined as 100% and related to the signal intensity obtained from cells kept in 10 mmol/l glucose and added with thioctic acid (1 mmol/l), aminoguanidin (10 mmol/l), and FCCP (0.5 μmol/l). Results represent the mean of three experiments ±SD√n. *Significance was determined in relation to 10 mmol/l glucose. D: Bovine endothelial cells were transiently cotransfected with an NF-κB-p65-luciferase promotor construct and a pSV-β-Gal plasmid. Cells were maintained in either 5 or 10 mmol/l glucose in the presence or absence of PD 98059 (30 μmol/l), GF 109203X (5 μmol/l), thioctic acid (1 mmol/l), aminoguanidin (10 mmol/l,) and FCCP (0.5 μmol/l) for 2 h until cells were harvested 48 h after transfection. Luciferase activity was determined in cell lysates and normalized for transfection efficiency. Results represent the mean of three experiments ±SD√n that are given as ratio of luciferase activity to β-galactosidase activity performed in triplicate. *Significance was determined in relation to 10 mmol/l glucose.
Characterisation of the nine healthy volunteers (group A) who underwent an euglycemic and the nine healthy volunteers (group B) who underwent a hyperglycemic clamp before (0 min) and after (120 min) the clamp
| . | Group A (n = 9) . | Group B (n = 9) . | P . |
|---|---|---|---|
| BMI (kg/m2) | 30.3 ± 2.27 | 27.7 ± 3.27 | 0.59 |
| HbA1c (%) | 5.1 ± 0.1 | 5.5 ± 0.2 | 0.30 |
| Glucose 0 min (mmol/l) | 5.4 ± 0.24 | 5.0 ± 0.24 | 0.32 |
| Glucose 120 min (mmol/l) | 5.5 ± 0.24 | 10.1 ± 0.1 | <0.001 |
| Insulin 0 min (μU/ml) | 77.9 ± 16.5 | 57.6 ± 18.2 | 0.50 |
| Insulin 120 min (μU/ml) | 486.9 ± 88.4 | 345.2 ± 105.9 | 0.41 |
| . | Group A (n = 9) . | Group B (n = 9) . | P . |
|---|---|---|---|
| BMI (kg/m2) | 30.3 ± 2.27 | 27.7 ± 3.27 | 0.59 |
| HbA1c (%) | 5.1 ± 0.1 | 5.5 ± 0.2 | 0.30 |
| Glucose 0 min (mmol/l) | 5.4 ± 0.24 | 5.0 ± 0.24 | 0.32 |
| Glucose 120 min (mmol/l) | 5.5 ± 0.24 | 10.1 ± 0.1 | <0.001 |
| Insulin 0 min (μU/ml) | 77.9 ± 16.5 | 57.6 ± 18.2 | 0.50 |
| Insulin 120 min (μU/ml) | 486.9 ± 88.4 | 345.2 ± 105.9 | 0.41 |
Data are means ± SD/√n.
Article Information
We thank all the research volunteers for their participation. This work was in part supported by a grant from Stiftung Verum. P.P.N. was supported by DFG (Na 138) and SFB 405. A.B. was supported by a grant from the faculty of Tübingen (Fortune 79800). M.S. was supported by DFG (Stu 192-2/1).
References
Address correspondence and reprint requests to Stephan Schiekofer, Department of Medicine I, University of Heidelberg, Bergheimerstr. 58, 69115 Heidelberg, Germany. E-mail: stephan.schiekofer@gmx.de.
Received for publication 3 August 2001 and accepted in revised form 6 December 2002.
CML, carboxymethyllysine; DMEM, Dulbecco’s modified Eagle’s medium; DTT, diothiothreitol; EMSA, electrophoretic mobility shift assay; MAPK, mitogen-activated protein kinase; NF, nuclear factor; PBMC, peripheral blood mononuclear cell; PKC, protein kinase C; PMSF, phenylmethylsulfonyl fluoride; RAGE, receptor for AGE; TBS, Tris-buffered saline; TBST, TBS with Tween.










