Shift workers, who are exposed to irregular sleep schedules resulting in sleep deprivation and misalignment of circadian rhythms, have an increased risk of diabetes relative to day workers. In healthy adults, sleep restriction without circadian misalignment promotes insulin resistance. To determine whether the misalignment of circadian rhythms that typically occurs in shift work involves intrinsic adverse metabolic effects independently of sleep loss, a parallel group design was used to study 26 healthy adults. Both interventions involved 3 inpatient days with 10-h bedtimes, followed by 8 inpatient days of sleep restriction to 5 h with fixed nocturnal bedtimes (circadian alignment) or with bedtimes delayed by 8.5 h on 4 of the 8 days (circadian misalignment). Daily total sleep time (SD) during the intervention was nearly identical in the aligned and misaligned conditions (4 h 48 min [5 min] vs. 4 h 45 min [6 min]). In both groups, insulin sensitivity (SI) significantly decreased after sleep restriction, without a compensatory increase in insulin secretion, and inflammation increased. In male participants exposed to circadian misalignment, the reduction in SI and the increase in inflammation both doubled compared with those who maintained regular nocturnal bedtimes. Circadian misalignment that occurs in shift work may increase diabetes risk and inflammation, independently of sleep loss.
Introduction
Worldwide in industrialized countries, nearly 20% of working adults are shift workers (1–3). Prospective epidemiologic studies indicate that shift work is associated with an increased risk of type 2 diabetes and cardiovascular disease (4–9). Shift work is generally associated with chronic sleep loss, which adversely affects glucose tolerance and cardiovascular function (10–13). Most shift workers also have irregular sleep schedules, resulting in circadian misalignment, a condition in which the behavioral sleep–wake schedule and the feeding schedule are not aligned with endogenous circadian rhythms. Because the timing of sleep and food intake synchronizes a number of neural, endocrine, and metabolic rhythms, whereas others remain locked to the master clock in the suprachiasmatic nucleus (SCN) of the hypothalamus, circadian misalignment involves a lack of synchrony among endogenous 24-h rhythms. Two recent laboratory studies in which healthy participants were exposed to circadian misalignment associated with reductions in total sleep time provided causative evidence for a deleterious effect on diabetes risk and cardiovascular function (14,15). Whether circadian misalignment has adverse cardiometabolic effects that are distinct from those imparted by sleep loss is a fundamental and as yet unanswered question with important implications for the health of millions of shift workers.
We therefore designed an experimental study in which the major determinants of diabetes risk (insulin sensitivity [SI] and β-cell function) as well as a predictor of cardiovascular risk (plasma levels of high-sensitivity C-reactive protein [hsCRP], an inflammatory marker [16–19]) were compared in healthy adults under conditions of circadian alignment versus misalignment, keeping the amount of daily sleep identical.
Research Design and Methods
Protocol and Participants
The protocol (Fig. 1) was approved by the University of Chicago Institutional Review Board, where all participants were studied after giving written informed consent.
Schematic representation of the study design. The protocol followed a parallel group design with two experimental interventions: sleep restriction with circadian alignment (left) and sleep restriction with circadian misalignment (right). The black bars represent the periods allocated to sleep. In both groups, 3 baseline days of 10-h bedtimes (from 2200 to 0800 h; B1, B2, B3) were followed by 8 days of sleep restriction to 5-h bedtimes (R4–R11). In the circadian alignment group, all short sleep periods were centered at 0300 h (bedtimes: 0030 to 0530 h). In the circadian misalignment group, four of the eight short sleep periods (R5, R6, R8, and R9) were delayed by 8.5 h, such that sleep occurred during the daytime (0900 to 1400 h). In both groups, breakfast (B) was served between 0730 and 0830 h, lunch (L) between 1300 and 1400 h, and dinner (D) between 1900 and 1930 h. On shifted days in the misalignment group, lunch was served at 1500 h, 1 h after wakeup time, and a sandwich (S) was presented at 0100 h. Snacks were available at all times. An IVGTT was performed at 0900 h on B2 and on R10. Two 24-h sessions of blood sampling at 15- to 30-min intervals were performed on B3 and R11 (dashed lines). Caloric intake during these sessions was limited to three identical carbohydrate-rich meals (HC). No snacks were allowed. Saliva sampling at 30-min intervals was performed from 1600 to 0030 h on R4 and R11 to assess melatonin levels (gray bars).
Schematic representation of the study design. The protocol followed a parallel group design with two experimental interventions: sleep restriction with circadian alignment (left) and sleep restriction with circadian misalignment (right). The black bars represent the periods allocated to sleep. In both groups, 3 baseline days of 10-h bedtimes (from 2200 to 0800 h; B1, B2, B3) were followed by 8 days of sleep restriction to 5-h bedtimes (R4–R11). In the circadian alignment group, all short sleep periods were centered at 0300 h (bedtimes: 0030 to 0530 h). In the circadian misalignment group, four of the eight short sleep periods (R5, R6, R8, and R9) were delayed by 8.5 h, such that sleep occurred during the daytime (0900 to 1400 h). In both groups, breakfast (B) was served between 0730 and 0830 h, lunch (L) between 1300 and 1400 h, and dinner (D) between 1900 and 1930 h. On shifted days in the misalignment group, lunch was served at 1500 h, 1 h after wakeup time, and a sandwich (S) was presented at 0100 h. Snacks were available at all times. An IVGTT was performed at 0900 h on B2 and on R10. Two 24-h sessions of blood sampling at 15- to 30-min intervals were performed on B3 and R11 (dashed lines). Caloric intake during these sessions was limited to three identical carbohydrate-rich meals (HC). No snacks were allowed. Saliva sampling at 30-min intervals was performed from 1600 to 0030 h on R4 and R11 to assess melatonin levels (gray bars).
We compared two 11-day interventions using a parallel group design. For logistic reasons primarily related to staffing, the two interventions could not be conducted simultaneously. Therefore, the participants were not formally randomized but assigned to the intervention that was implemented at the time of their recruitment, without being aware that there was an alternate intervention.
Participants from the local community responded to advertisements inviting healthy adults with normal body weight and ages 21–39 years to participate in a research study, “Extended work schedules and health: Role of sleep loss” and involving 2 weeks of hospitalization. Supplementary Figure 1 shows the flow diagram of subject recruitment and participation. Participants underwent a physical examination and laboratory tests to rule out endocrine, psychiatric, and sleep disorders; medication use; smoking; excessive alcohol or caffeine consumption; shift work or travel across time zones during the past 2 months; and self-reported habitual sleep of less than 7.5 h or more than 8.5 h.
During 1 week before the study, subjects were asked to comply with standardized schedules (2300–0700 h bedtimes). Compliance was verified with wrist activity recordings (Actiwatch, Mini-Mitter Co.). In women, the study was initiated during the early follicular phase of the menstrual cycle.
The interventions (Fig. 1) involved 3 days with 10-h bedtimes (2200–0800 h: B1–B3; baseline rested condition), followed by 8 days with 5-h bedtimes (R4–R11), with bedtimes always centered at 0300 h (0030–0530 h, circadian alignment) or with bedtimes delayed by 8.5 h on 4 days (0900–1400 h on days R5–R6 and R8–R9; circadian misalignment). Both interventions involved the same amount of bedtime restriction, representing 24 h of lost sleep opportunity over 8 days and were followed by 3 nights of recovery sleep.
An intravenous glucose tolerance test (IVGTT) was performed after an overnight fast at 0900 h on B2 and R10. Frequent blood sampling by an intravenous catheter was performed during B3 and R11. Levels of hsCRP were measured at 4-h intervals. Saliva samples for melatonin assays were obtained every 30 min, from 1600 h until bedtime, on R4 and R11.
Each participant met with a dietitian before the study to determine food preferences and select three nutritionally balanced menus that were served on a rotating basis. On blood sampling days (B3 and R11), identical carbohydrate-rich meals were served at 1400, 1900, and 0900 h and were completely ingested within 20 min. No other caloric intake was allowed on these 2 days. During the entire protocol, participants abstained from caffeinated beverages.
Sleep Data
Polygraphic sleep recordings (Neurofax EEG-1100A; Nihon Kohden, Foothill Ranch, CA) were scored visually at 30-s intervals in stages wake, I, II, slow-wave sleep (SWS) and rapid-eye-movement (REM) sleep, according to standardized criteria (20). Total sleep time was defined as minutes of stages I + II + SWS + REM.
IVGTT
After three baseline samples, glucose (0.3 g/kg) was administered intravenously. Blood samples were taken at minutes 2, 3, 4, 5, 6, 8, 10, 12, 15, 19, 21, 22, 24, 26, 28, 30, 40, 50, 60, 70, 90, 100, 120, 140, 180, 210, and 240 after the glucose injection. At minute 19, insulin (0.02 units/kg) was administered intravenously. Minimal model analyses (21) were performed using the Minmod Millennium software (22) and provided SI, the acute insulin response to glucose (AIRg), a measure of β-cell response, and the disposition index (DI = AIRg × SI), a marker of diabetes risk.
One woman experienced hypoglycemia during her baseline IVGTT. Her IVGTT data were not included in the analysis.
Assays
Glucose concentrations were assayed at bedside (Model 23A; Yellow Springs Instrument Company, Yellow Springs, OH). Serum insulin and hsCRP concentrations were measured using IMMULITE high-sensitivity chemiluminescence assays (Diagnostic Products Corp.).
Melatonin was assayed in saliva and in serum by radioimmunoassay (Pharmasan Labs, Inc., Osceola, WI), with a limit of sensitivity of 3.5 pg/mL and an intra-assay coefficient of variation of 8%.
Circadian Phase
Circadian phase was determined by the “dim light melatonin onset” (DLMO) in saliva samples. Melatonin onset was defined as the first sample to exceed a threshold of 2 SD above the mean of the first three baseline samples (2000–2100 h) not followed by a return below this threshold. Light intensity was <50 lux at eye level. When the DLMO did not occur before bedtime, it was derived from serum levels for both study conditions. These estimations were made before the first (R4) and last (R11) short sleep periods.
hsCRP Levels
Seven determinations of hsCRP at 4-h intervals were obtained at baseline and at the end of sleep restriction. There were no consistent within-subject temporal variations, and therefore, we used the median of the seven values as a summary measure.
Statistical Analysis
Results are expressed as mean (SD) for normally distributed data or as median (25th, 75th percentile) otherwise. Data were log-transformed where applicable.
To examine the effect of sleep restriction within each group, cardiometabolic variables were submitted to repeated-measures ANOVA.
Because of well-documented sex differences in the regulation of sleep (23,24), circadian rhythms (25), and glucose metabolism (26), sex was entered as a covariate in analyses comparing the two interventions. We examined the percentage change from baseline to the end of sleep restriction by using a factorial ANOVA with intervention, sex, BMI, and the interaction sex-by-intervention as factors for all cardiometabolic variables. All statistical calculations were performed using JMP software (SAS Institute Inc., Cary, NC).
Results
Twenty-six participants completed the study, 13 in the circadian alignment group and 13 in the circadian misalignment group. The flow chart of enrollment is shown in Supplementary Fig. 1, and Table 1 summarizes demographic data.
Sleep
At baseline, total sleep time and amounts of SWS and REM sleep were similar in the two groups (Table 1, see Fig. 2 for daily total sleep time). Our experimental strategy (Fig. 1) consisted of increasing sleep pressure using a first aligned night of bedtime restriction to achieve similar levels of total sleep time during the period of bedtime restriction, irrespective of the presence or absence of circadian disruption. This strategy was successful, because the difference in total sleep time achieved during the seven periods of short sleep undisturbed by blood sampling averaged 22 min (i.e., ∼3 min per bedtime period; Table 1 and Fig. 2).
Total sleep times achieved on each day for both study groups. Represented values are mean (SEM).
Total sleep times achieved on each day for both study groups. Represented values are mean (SEM).
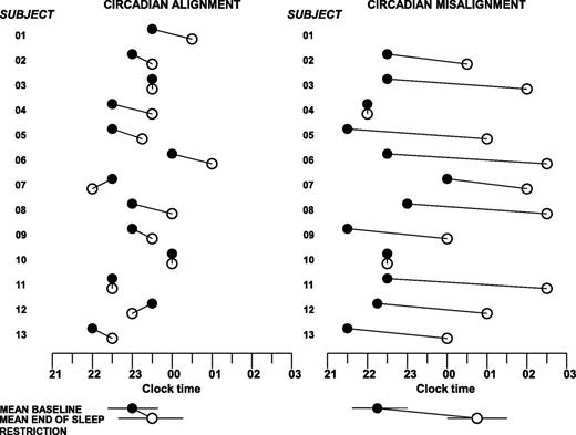
Circadian Phase
Participants in the circadian alignment protocol (Fig. 3) experienced a nonsignificant delay of the DLMO of 30 min (0, 60) whereas those exposed to circadian misalignment had a delay of 3 h 08 min (2 h 00 min, 3 h 30 min; P = 0.001). Of note, two men exposed to circadian misalignment did not shift circadian phase. The remaining 11 subjects shifted by 3 h 30 min (2 h 23 min, 3 h 38 min).
Assessments of circadian phase. Timing of DLMO before the first (●) and before the last (○) short sleep periods. The circadian phase could not be determined for one subject in the circadian misalignment group.
Assessments of circadian phase. Timing of DLMO before the first (●) and before the last (○) short sleep periods. The circadian phase could not be determined for one subject in the circadian misalignment group.
Weight Change and Caloric Intake
Participants were free to help themselves ad libitum during meals and had unlimited access to various snack items. In the circadian alignment group, breakfast was served between 0700 and 0830 h, lunch between 1300 and 1330 h, and dinner between 1830 and 1930 h. In the circadian misalignment group, on the days when bedtimes were scheduled during the day (R5–R6, R8–R9), a light meal (usually a sandwich) was served at 0100 h. A normal breakfast was served in the morning. Lunch was served at 1500 h and dinner was served between 1830 and 1930 h. Thus, there were only minimal differences in the timings of breakfast, lunch, and dinner between the two groups.
The two groups consumed excessive but almost identical amounts of calories, averaging 4,061 (971) Kcal/24 h when bedtime periods were aligned and 4,058 (888) Kcal/24 h when bedtime periods were misaligned. On average, daily caloric intake during sleep restriction included 62.8% (11.3%) carbohydrates, 33.0% (3.9%) fat, and 10.4% (2.1%) protein in participants in the aligned condition compared with 57.2% (5.2%) carbohydrates, 34.6% (3.8%) fat, and 10.8% (1.8%) protein in participants in the misaligned condition. None of the differences between the two conditions were significant (P > 0.115). On average, during the 7 days of sleep restriction, the proportion of calories consumed after 1900 h was 7% (4%) in the aligned condition versus 21% (8%) in the misaligned condition (P < 0.001). Weight gain was significant (P ≤ 0.002) and similar in both groups (Table 1).
Cardiometabolic Variables
SI decreased in 24 of the 25 participants after 7 days of sleep restriction. The findings were qualitatively similar in both groups, in that a robust decrease in SI was not compensated for by a commensurate increase in β-cell responsiveness (as assessed by AIRg), and therefore, the DI was decreased, consistent with an increased risk of diabetes (Table 2). Median hsCRP levels were higher after sleep restriction than at baseline in both groups, but the difference was significant for the misaligned group only (Table 2). These findings were similar when analyses were adjusted for weight change.
To examine the effect of the two interventions, we compared the percentage change in cardiometabolic variables between the two groups (individual data in Fig. 4). After controlling for BMI, the interaction sex-by-intervention for percentage change in SI was −34% (23%) in the aligned group (n = 12) versus −47% (20%) in the misaligned group (n = 13), which was significantly different (P = 0.026). This interaction was not significant for percentage change in insulin secretion (+28% [55%] vs. +18% [36%], P = 0.16), DI (−17% [39%] vs. −39% [27%], P = 0.66), or hsCRP (+50% [67%] vs. +119% [110%]; P = 0.63). Because of the small number of women, the remainder of the analysis included only men (individual data in Fig. 4). Figure 5 illustrates the glucose and insulin temporal profiles during the IVGTT under rested condition and after sleep restriction for the aligned and misaligned groups, and Fig. 6 reports the changes in the summary measures derived from the IVGTT. Importantly, total sleep time for men only was not significantly different between the two groups during the sleep restriction period when baseline levels were controlled for (P = 0.30). The relative decrease in SI in men was nearly twice as large in the misaligned than in the aligned group (−58% [13%] vs. −32% [25%], P = 0.011; Fig. 6). There were no compensatory increases in AIRg in either intervention group (+24% [39%] vs. +21% [56%], P = 0.66; Figs. 5 and 6). Therefore, the reduction in DI, reflecting an increase in diabetes risk, tended to be greater after circadian misalignment than when the sleep–wake cycle remained aligned (−48% [24%] vs. −19% [43%], P = 124; Fig. 6). Increases in hsCRP after sleep restriction were higher in the misaligned than in the aligned groups (+146% [103%] vs. +64% [63%], P = 0.049; Fig. 6) in male participants. Interestingly, these hsCRP increases were correlated with the shift in circadian phase, as estimated by melatonin onset (r = 0.487, P = 0.040).
Individual changes in cardiometabolic variables. Values represent percentage change from baseline of SI, AIRg, DI, and hsCRP.
Individual changes in cardiometabolic variables. Values represent percentage change from baseline of SI, AIRg, DI, and hsCRP.
Temporal profiles of glucose (top) and insulin (bottom) levels during IVGTT. Mean (SD) glucose and insulin levels during IVGTT performed under baseline (i.e., rested) condition and after 7 days of sleep restriction to 5 h per day for the men in the circadian alignment (n = 10) and the circadian misalignment (n = 9) groups. Visual examination of these profiles suggests that the effect of sleep restriction on the decline of glucose concentrations is greater in the presence of circadian misalignment despite higher levels of insulin, consistent with a greater decrease in SI. Minimal model analysis of individual profiles confirmed this visual impression.
Temporal profiles of glucose (top) and insulin (bottom) levels during IVGTT. Mean (SD) glucose and insulin levels during IVGTT performed under baseline (i.e., rested) condition and after 7 days of sleep restriction to 5 h per day for the men in the circadian alignment (n = 10) and the circadian misalignment (n = 9) groups. Visual examination of these profiles suggests that the effect of sleep restriction on the decline of glucose concentrations is greater in the presence of circadian misalignment despite higher levels of insulin, consistent with a greater decrease in SI. Minimal model analysis of individual profiles confirmed this visual impression.
Changes in cardiometabolic variables in male participants. Mean (SD) changes in SI, AIRg, DI, and hsCRP from baseline to sleep restriction are shown in both intervention groups. *P < 0.05.
Changes in cardiometabolic variables in male participants. Mean (SD) changes in SI, AIRg, DI, and hsCRP from baseline to sleep restriction are shown in both intervention groups. *P < 0.05.
In women, differences in IVGTT and hsCRP variables between the aligned and misaligned intervention were nonsignificant.
Discussion
We designed the current study to determine whether circadian misalignment has adverse cardiometabolic effects independently of sleep loss. Our experimental strategy was successful, because the participants obtained nearly identical amounts of sleep irrespective of exposure to circadian alignment or misalignment. Sleep loss reduced SI and DI, but the reduction in SI was nearly twice as large when the week of sleep restriction included 4 days with bedtimes delayed by 8.5 h than when the center of the sleep period remained fixed. Despite the greater decrease in SI in participants exposed to circadian misalignment, the β-cell response was similar to that observed in participants in whom synchrony between behavioral and endogenous rhythms was maintained. These findings demonstrate that circadian misalignment can have adverse effects on insulin action and insulin release that are distinct from those imparted by sleep loss alone. Similarly, the levels of hsCRP, a marker of systemic inflammation and a predictor of cardiovascular disease risk, were increased after sleep restriction and to a greater extent in the participants who experienced circadian misalignment.
Our protocol involved restricting bedtimes to build sleep pressure and thereby achieving virtually identical amounts of sleep in both arms of the study. Thus, we controlled experimentally for total sleep time, and caloric intake was also nearly identical in both arms of the protocol. We concluded that circadian misalignment has intrinsic adverse cardiometabolic effects. A study design where bedtimes would not have been restricted would have led to a greater amount of sleep loss in the circadian misalignment group, with a need to control statistically for total sleep time in the analysis, as performed in the only previous experimental study that attempted to demonstrate adverse cardiometabolic effects of circadian misalignment (14). In this previous study, total sleep time varied according to the degree of misalignment, and the conclusion that circadian misalignment has adverse cardiometabolic consequences relied on the statistical significance of alignment versus misalignment while controlling for sleep efficiency as a covariate in the statistical analysis. The current study provides instead a direct experimental demonstration.
The shift in circadian time could have influenced our estimations of the magnitude of the change in SI between the aligned and misaligned conditions. This issue was carefully considered when the protocol was designed. Indeed, a phase delay was used rather than a phase advance to create circadian misalignment. In healthy nonobese individuals, SI is higher in the morning than 8 to 10 h later, in the late afternoon or early evening (29). Our participants in the circadian misalignment condition experienced a delay of the melatonin onset of about 3 h, but the clock time of the IVGTT remained fixed at 0900. Therefore, relative to internal circadian time, SI was assessed earlier—rather than later—in the biological day. In addition, there is evidence that peripheral clocks in metabolically relevant tissues shift at a slower rate than the central circadian pacemaker (30). Thus, the delay in the diurnal variation of SI was likely less than 3 h. If our estimations of morning SI were affected by this modest shift of peripheral circadian time, it would therefore be in a direction that would result in a lower estimation of SI in the circadian misalignment than in the circadian alignment condition. Therefore, if affected at all by the shift of circadian time, the difference in the decrease of SI between the two conditions is underestimated, not overestimated.
We examined multiple putative mechanisms mediating the adverse metabolic effect of circadian misalignment. Previous studies in healthy young adults have shown that experimental reductions of sleep quality without change in sleep duration, by nearly complete suppression of SWS (31) or by severe sleep fragmentation across all sleep stages (32), can result in decreases in SI that approximate the effect size of circadian misalignment observed in the current study. However, the macrostructure of sleep, as assessed in the current study by the total amounts of SWS and REM sleep during the week of sleep restriction, was similar in both groups. Sleep restriction did not result in an increase in SWS in either group, and REM sleep was markedly and similarly suppressed in both groups. Therefore, that alterations of sleep quality played a major role in the adverse metabolic consequences of circadian misalignment seems unlikely.
Average daily caloric intake was excessive but similar in both study groups, as were the timings of breakfast, lunch, and dinner. However, when participants in the circadian misalignment group were exposed to the four shifted nights, the overnight fast was interrupted by a small scheduled nighttime meal with continued access to snacks during the remainder of the night. Over the 7 days of sleep restriction, the proportion of daily caloric intake during the nighttime in the circadian misalignment group was threefold higher than in the circadian alignment group. The night eating syndrome in humans (33,34) and a shift of food intake from the active phase to the rest phase in laboratory rodents (35,36) have been associated with adverse metabolic consequences. Whether the disruption of dietary intake that occurred during shifted nights might have caused a further 20–30% decrease in SI compared with a normal 12-h overnight fast is an important question with major public health implications that will need to be rigorously addressed. Importantly, weight gain was similar under both conditions, and we verified that changes in body weight were not a significant predictor of changes in SI or β-cell response.
The durations of exposure to light and dark were identical in both groups, with similar levels of light intensity during periods of wakefulness and total darkness during periods of sleep. Exposure to light during the biological night during the 4 days with bedtime periods delayed by 8.5 h resulted in a delay of the DLMO of ∼3 h in all but two participants. The demographics and baseline DLMO and melatonin levels of the two participants who did not shift were similar to those of the remainder of the group. Further, these two individuals experienced qualitatively and quantitatively similar changes in SI as the other participants, suggesting that the timing of the melatonin rhythm was not a major determinant of the metabolic effects of circadian misalignment.
Consistent with previous studies of partial sleep deprivation in healthy young men (37,38), sleep restriction without circadian disruption resulted in a marked elevation of serum hsCRP levels in men. In those exposed to circadian misalignment, the relative increase was more than twice as large, revealing an adverse effect of circadian disruption on this sensitive marker of cardiovascular risk. Inflammation could be involved in the mechanisms linking sleep loss and circadian disruption to alterations in glucose metabolism.
Novel concepts regarding organization of the mammalian circadian system and its interaction with metabolism have emerged during the past 10 years (39–43). The molecular mechanism generating circadian rhythmicity within pacemaker neurons of the SCN has been identified as a transcriptional–translational feedback loop of activators and repressors, including CLOCK and BMAL1 as positive elements and PER and CRY as negative elements. There is evidence for a direct metabolic input into the core clock mechanism. For example, REV-ERB and RORalpha, the products of two genes of the orphan nuclear hormone receptor family, repress or activate, respectively, the transcription of BMAL1 and contribute to the control of the amplitude and phase of the rhythms of clock gene expression. The same interacting circuitry of core clock and metabolic elements is present in many peripheral tissues, including muscle, liver, pancreas, and fat. Although the environmental light–dark cycle is the primary synchronizer of the central clock mechanism in the SCN, the timings of food intake and fasting have a direct effect on peripheral clocks. The central clock regulates behavioral rhythms, including the sleep–wake cycle and feeding schedule, and also entrains peripheral clocks by neural and humoral mechanisms. In the current study, we created a misalignment between the central and peripheral oscillators by imposing an 8.5-h delay of the sleep–wake and dark–light cycles on 4 of the 7 days preceding metabolic testing. Assessment of the DLMO, widely considered the most accurate marker of central circadian phase (44), revealed that the central circadian signal had shifted by ∼3 h at the end of the study.
Total sleep time and caloric intake were not affected by circadian misalignment. The timing of food intake was shifted, with a higher proportion of caloric intake occurring during the biological night and a shorter fasting period. When sleep opportunities were delayed by 8.5 h, peripheral organs were exposed to nutrients during the habitual period of overnight fast and thus received neurohormonal inputs out of phase with central circadian signals by an estimated 5 to 6 h. This misalignment between metabolic cues and central circadian signals had adverse cardiometabolic consequences that were not caused by reductions in sleep duration or quality or increases in total caloric intake.
Our study was performed under carefully controlled conditions, and the results are unequivocal. The main limitation is the sample size. A significant sex-by-group interaction emerged from the statistical analysis, but the study was not powered to examine sex differences. Findings in men were robust, with a larger-than-expected effect size of misalignment relative to alignment.
Findings from this laboratory study provide evidence in support of an intrinsic adverse effect of circadian misalignment on glucose metabolism and cardiovascular risk. The increased risk of diabetes and cardiovascular disease documented in epidemiologic studies of shift work (4–9) is thus unlikely to be solely due to sleep loss and would not be fully mitigated by strategies designed to preserve sleep duration.
Clinical trial reg. no. NCT00989534, clinicaltrials.gov.
See accompanying article, p. 1826.
Article Information
Acknowledgments. The authors thank the nursing and dietary staff of the University of Chicago General Clinical Research Center and the team of polysomnography technicians of the Sleep Metabolism and Health Center for their expert assistance.
Funding. This research was supported by National Institutes of Health grants R01-HL72694, ULl-TR000430, P60-DK020595, and P01-AG11412, and the National Institute for Occupational Safety and Health grant R01-OH009482. During the completion of the experimental part of the study, U.H. was partly supported by a Pickwick Fellowship of the National Sleep Foundation (Washington, DC). R.L. is currently a recipient of a grant “Brains Back to Brussels” from the Brussels Institute for Research and Innovation (Belgium).
The funding sources had no role in the design and conduct of the study, collection, management, analysis, and interpretation of the data, and preparation, review, or approval of the manuscript.
Duality of Interest. No potential conflicts of interest relevant to this article were reported.
Author Contributions. R.L. contributed to the design of the study, collected and analyzed the data, and prepared the manuscript. U.H. collected the data, contributed to data analysis, and reviewed and edited the manuscript. E.V.C. designed the study, analyzed the data, and prepared the manuscript. R.L. and E.V.C. are the guarantors of this work and, as such, had full access to all the data in the study and take responsibility for the integrity of the data and the accuracy of the data analysis.
Prior Presentation. Data were partially presented at the 20th Anniversary Meeting of the Associated Professional Sleep Societies, Salt Lake City, UT, 17–22 June 2006; at the 66th Scientific Sessions of the American Diabetes Association, Washington, DC, 9–13 June 2006; at the 5th Congress of the World Federation of Sleep Research, Cairns, Australia, 2–6 September 2007; at the 21st Congress of the European Sleep Research Society, Paris, France, 4–8 September 2012; and at the 5th World Congress on Sleep Medicine, Valencia, Spain, 28 September–2 October 2013.








